全部版块 我的主页
论坛 提问 悬赏 求职 新闻 读书 功能一区 经管文库(原现金交易版)
350 0
2024-09-17

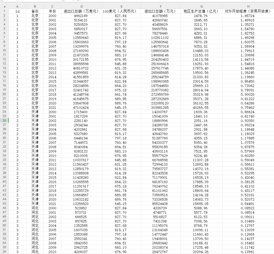
1.资料名称:2021-2000年中国省级对外开放程度测算面板数据


2.数据来源:进出口总额数据来源于中经网统计数据库、地区生产总值和汇率来源于《中国统计年鉴》


3.指标范围:包括  id        省份、年份、进出口总额(万美元)、100美元(人民币元)、进出口总额(万元)、地区生产总值(亿元)、对外开放程度(贸易开放度)


1.png


4.计算方式:贸易开放度(对外开放程度)=进出口总额/地区生产总值

5.资料用途:各省对外开放程度是一个重要的学术研究对象,可以用于研究经济发展、区域合作、国际关系等方面。研究可以包括不同省份的对外贸易、外商直接投资、国际交流与合作等数据,以分析不同开放程度对经济增长、产业结构转型、区域发展差异等的影响,同时还可以探讨开放策略对国际竞争力、技术创新和地区一体化的影响,为制定和优化对外开放政策提供科学依据


二维码

扫码加我 拉你入群

请注明:姓名-公司-职位

以便审核进群资格,未注明则拒绝

相关推荐
栏目导航
热门文章
推荐文章

说点什么

分享

扫码加好友,拉您进群
各岗位、行业、专业交流群