全部版块 我的主页
论坛 提问 悬赏 求职 新闻 读书 功能一区 经管文库(原现金交易版)
511 0
2024-09-21
上市公司-企业产能利用率/资产周转率/营业收入/员工人数(2000-2023年),原始数据/测算代码/计算结果/参考文献,整理好的面板数据,excel或stata版本


一、时间跨度:2000-2023


二、样本范围:A股上市企业,5w+观测值


三、数据来源:WINd


四、测算方法
借鉴发表于核心期刊的方法,参考曲玥(2015)的做法,在经验分析中使用随机前沿生产函数法,把实际产出与前沿产出的比值看作企业产能利用率。 由于上市公司不披露工业总产值,本文采用主营业务收入近似替代。利用公司主营业务收入、总资产和企业人数来构建随机前沿生产面,从而计算上市公司产能利用率水平。
基于国务院发展研究中心课题组等(2015)的研究结果,考虑到产能利用率主要和企业总资产周转率相关,本文还采用总资产周转率作为企业产能利用率的替代指标进行稳健性检验。


五、数据指标
附件1 原始数据-上市企业产能利用率(2000-2023)
  • 股票代码
  • 年份
  • 证券代码
  • 是否ST或PT
  • 资产总计
  • 营业收入
  • 员工人数



附件2 测算代码dofile


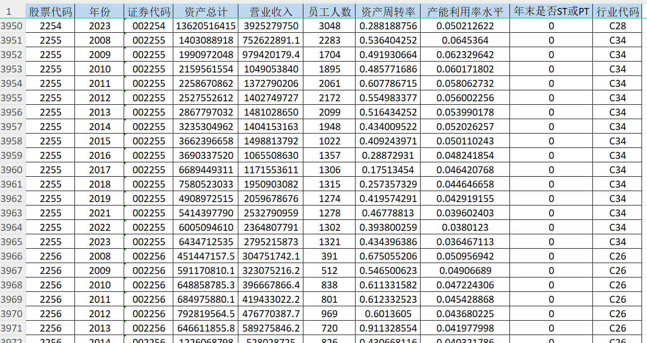
附件3 测算结果-上市企业产能利用率(2000-2023)
  • 股票代码
  • 年份
  • 证券代码
  • 资产总计
  • 营业收入
  • 员工人数
  • 资产周转率
  • 产能利用率水平
  • 行业代码



附件4 数据合集(含附件1、2、3、参考文献)-上市企业产能利用率(2000-2023)


六、参考文献
[1]李雪松,赵宸宇,聂菁.对外投资与企业异质性产能利用率[J].世界经济,2017,40(05):73-97.
[2]曲玥.中国工业产能利用率——基于企业数据的测算[J].经济与管理评论,2015,31(01):49-56.
[3]国务院发展研究中心《进一步化解产能过剩的政策研究》课题组、赵昌文、许召元、袁东、廖博(2015):《当前我国产能过剩的特征、风险及对策研究———基于实地调研及微观数据的分析》,《管理世界》第 4 期。
附件列表
原始数据.jpg

原图尺寸 72.72 KB

原始数据.jpg

代码.jpg

原图尺寸 30.19 KB

代码.jpg

测算结果.jpg

原图尺寸 108.43 KB

测算结果.jpg

附件2 测算代码dofile

大小:76 Bytes

只需: RMB 10 元  马上下载

二维码

扫码加我 拉你入群

请注明:姓名-公司-职位

以便审核进群资格,未注明则拒绝

相关推荐
栏目导航
热门文章
推荐文章

说点什么

分享

扫码加好友,拉您进群
各岗位、行业、专业交流群