全部版块 我的主页
论坛 提问 悬赏 求职 新闻 读书 功能一区 经管文库(原现金交易版)
296 0
2024-10-02

资料名称:

2023-2008年上市公司企业劳动密集度数据


测算方式:

参考《数量经济技术经济研究》陈勇兵(2023)老师的做法,使用员工数量与销售收入的比值作为劳动密集度的度量标准
我们做的比他完善,分为四类大家可以做核心变量或者稳健性检验.
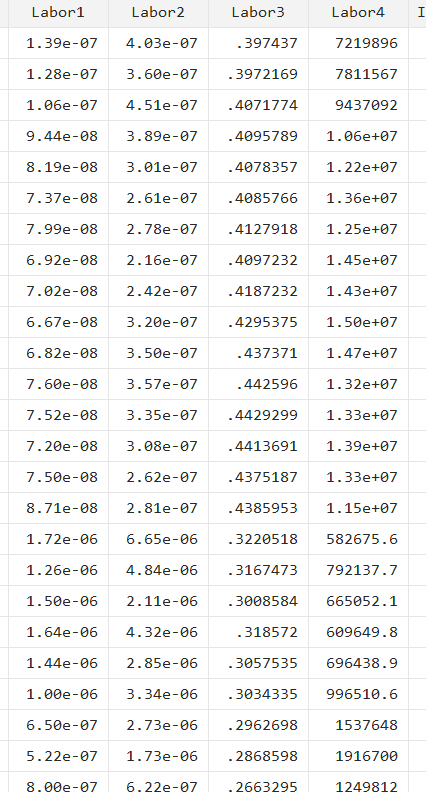
Labor1:企业劳动密集度:员工人数除以总资产
Labor2:企业劳动密集度:员工人数除以营业收入(又叫做销售收入)
Labor3:企业劳动密集度:员工人数自然对数除以营业收入自然对数
Labor4:企业劳动密集度:人均总资产。值越小,劳动密集度越高。
除了第四个指标,其他都是值越大,劳动密集度越高。


资料范围:

5万个样本,5447家企业,包括原始数据、运行代码、最终结果(Excel和Dta)


参考文献:
陈勇兵,李辉,林雄立.劳动保护与企业智能制造转型——来自机器人进口的证据[J].数量经济技术经济研究,2023,40(06):133-152.DOI:10.13653/j.cnki.jqte.20230417.003.


参考.png



数据量:

数据量.png

描述性检验:

描述性检验.png

代码:

代码.png

结果


结果.png




二维码

扫码加我 拉你入群

请注明:姓名-公司-职位

以便审核进群资格,未注明则拒绝

相关推荐
栏目导航
热门文章
推荐文章

说点什么

分享

扫码加好友,拉您进群
各岗位、行业、专业交流群