全部版块 我的主页
论坛 提问 悬赏 求职 新闻 读书 功能一区 经管文库(原现金交易版)
431 1
2024-10-02

资料名称:

2023-2008年上市公司企业金融化及金融化同群效应数据


测算方式:

参考C刊《财经研究》李秋梅(2020)老师的研究,金融化以企业金融资产占总资产的比例衡量。解释变量为同群企业的平均金融化水平,包括同行业、同地区和同行业同地区同群企业的平均金融化水平。我们将焦点企业 i 的同行业、同地区与同行业同地区企业分别定义为与焦点企业 i 处于同一行业、注册地在同一省份、行业及省份均相同的其他企业。其中,行业分类参照证监会 2012 年发布的《上市公司行业分类指引》第 1 位码进行分类。
具体指标为:
Fin:企业金融化,等于企业金融资产总和(交易性金融资产、衍生金融资产、可供出售金融资产净额、持有至到期投资净额、投资性房地产净额、长期股权投资净额)与总资产之比。
Ind_Fin:企业金融化的行业同群效应,同行业同年度其他企业的平均金融化水平。
注意:当同行业同年度其他企业个数为1时,该值为缺失状态,下面同理。
Area_Fin:企业金融化的地区同群效应,同省份同年度其他企业的平均金融化水平
Inarea_Fin:企业金融化的行业地区同群效应,同省份同行业同年度其他企业的平均金融化水平


赠送!

1:上市公司年度基本信息:标签、股票代码、年份、股票简称、是否发生ST或*ST或PT、股票代码、行业名称-证监会2012年版、行业代码-证监会2012年版、所属省份代码、所属省份、所属城市代码、所属城市、上市年份、是否金融业


2:2008-2023上市公司金融化水平、金融化同群效应原始数据:包括交易性金融资产、衍生金融资产、可供出售金融资产净额、持有至到期投资净额、投资性房地产净额、长期股权投资净额等13+变量的详细数据,累计涵盖5.2w+观测值数量,5400+样本企业,极具研究价值,指标构建所需的各个原始数据都可直接查到




资料范围:

包括原始数据、计算代码和最终计算结果,大家可以验证一下确保准确性!


参考文献
李秋梅,梁权熙.企业“脱实向虚”如何传染?——基于同群效应的视角[J].财经研究,2020,46(08):140-155.DOI:10.16538/j.cnki.jfe.2020.08.010.8


参考.png



代码:

代码.png



数据量:

数据量.png



描述性统计:

描述性统计.png



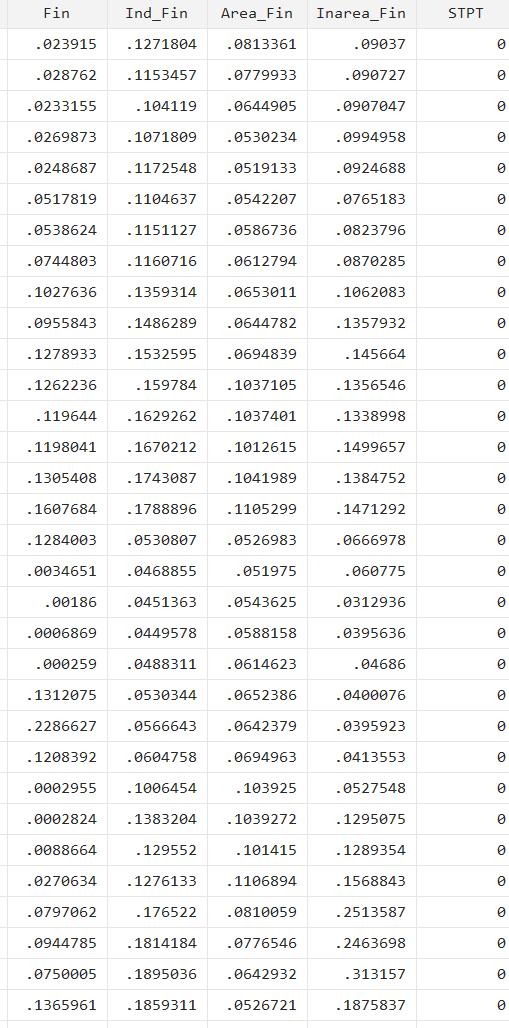
结果数据:

结果数据.png



二维码

扫码加我 拉你入群

请注明:姓名-公司-职位

以便审核进群资格,未注明则拒绝

全部回复
2024-10-3 18:00:07
数据已购买
二维码

扫码加我 拉你入群

请注明:姓名-公司-职位

以便审核进群资格,未注明则拒绝

相关推荐
栏目导航
热门文章
推荐文章

说点什么

分享

扫码加好友,拉您进群
各岗位、行业、专业交流群