全部版块 我的主页
论坛 提问 悬赏 求职 新闻 读书 功能一区 经管文库(原现金交易版)
738 0
2024-10-15
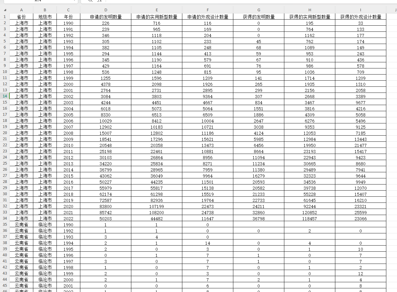
专利数量是反映一个城市创新水平的重要指标,我们在很多研究中都会用到专利数量数据

数据名称:地级市专利申请、授权数据

数据范围:300个地级以上城市

数据年份:1990-2022年

数据来源:国家知识产权局

数据说明:包括发明、实用、外观的申请和授权


4.png


二维码

扫码加我 拉你入群

请注明:姓名-公司-职位

以便审核进群资格,未注明则拒绝

栏目导航
热门文章
推荐文章

说点什么

分享

扫码加好友,拉您进群
各岗位、行业、专业交流群