经管之家App
让优质教育人人可得
立即打开
全部版块
我的主页
›
论坛
›
数据科学与人工智能
›
数据分析与数据科学
›
SAS专版
SAS一个数据集中某一属性列的累加怎么实现?
楼主
XCc0900720130
2172
0
收藏
2011-10-22
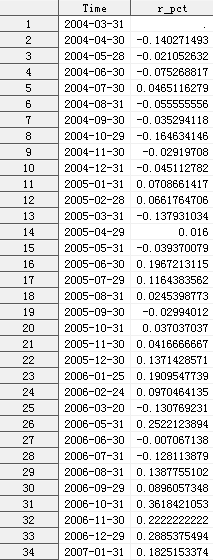
SAS一个数据集中某一属性列的累加怎么实现?比如我现在要求
日、周、月
的累计的收益率,下列三个图分别为
日、周、月收益率,怎么加总,汇集到一个表上,因为他们本来就来自同一只股票(Sh600000)。
附件列表
1.png
原图尺寸 13.87 KB
扫码加我 拉你入群
请注明:姓名-公司-职位
以便审核进群资格,未注明则拒绝
相关推荐
怎么输出频数由多到少的数据集
求助:如何在数据集里更改变量长度
多个数据集合并的问题
想把数据集的某一列存到一个数组中去
判定2个数据集完全一样
求助:sas中如何将一个数据集中所包含的另一数据集的相同观测值删除?
数据集合并选择题
关于数据集按观测拆分问题
随机数据集的构建与汇总处理
各位大神,大家谁有白云芬老师2012-2016新能源财务那个数据集
栏目导航
SAS专版
经管在职研
休闲灌水
行业分析报告
经管高考
数据分析与数据挖掘
热门文章
表格结构数据的核心特征及具象实例解析
毕马威 - 中国内地与香港IPO市场2025年回顾 ...
高教现代数学基础23 矩阵计算六讲 徐树方,钱 ...
求Journal of Computational and Graphical ...
查找文献Digital mapping of soil organic ...
《技术的本质》epub版本
精准匹配,菁英相伴--经管之家单身俱乐部, ...
科研时间70%耗在“下载-复制-粘贴”?零代码 ...
Stata 19.0 Win 安装文件
我该如何记住你?智能体记忆系统的演化之路
推荐文章
2026JG学术冬训营:从Stata初高到Python机器 ...
【必看】【本版版规,欢迎发悬赏贴求助】
26年寒假天津站|Gemini论文写作&数据分析 ...
关于如何利用文献的若干建议
关于学术研究和论文发表的一些建议
关于科研中如何学习基础知识的一些建议 (一 ...
一个自编的经济学建模小案例 --写给授课本科 ...
AI智能体赋能教学改革: 全国AI教育教学应用 ...
2025中国AIoT产业全景图谱报告-406页
关于文献求助的一些建议
说点什么
分享
微信
QQ空间
QQ
微博
扫码加好友,拉您进群
各岗位、行业、专业交流群