全部版块 我的主页
论坛 提问 悬赏 求职 新闻 读书 功能一区 经管文库(原现金交易版)
283 0
2024-11-01
1、数据源名称:3种方式:数字化转型“同群效应”
2、时间范围:2000-2023年
3、数据来源:上市公司年报

4、数据说明:其中A为吴非的76个数字化相关词频和,B为赵宸宇的99个相关词频和,C为甄红线的139个相关词频和

测算方法:与焦点企业处于同一细分行业(或者省份),计算其它企业数字化转型水平均值和中位数

数据来源:企业数字化转型-年度报告314个词频、文本统计


5、参考文献
  霍春辉,吕梦晓,许晓娜.数字化转型“同群效应”与企业高质量发展——基于制造业上市公司的经验证据[J].科技进步与对策,2023,40(04):77-87.
6、主要指标:

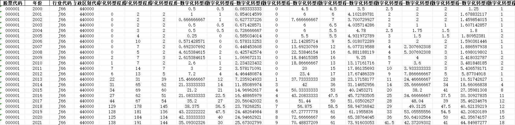
股票代码

年份

行业代码

行政区划代码

数字化转型程度-A

数字化转型程度-B

数字化转型程度-C

同行业同群-数字化转型程度-A_均值

同行业同群-数字化转型程度-A_中位数

同省份同群-数字化转型程度-A_均值

同省份同群-数字化转型程度-A_中位数

同行业同群-数字化转型程度-B_均值

同行业同群-数字化转型程度-B_中位数

同省份同群-数字化转型程度-B_均值

同省份同群-数字化转型程度-B_中位数

同行业同群-数字化转型程度-C_均值

同行业同群-数字化转型程度-C_中位数

同省份同群-数字化转型程度-C_均值

同省份同群-数字化转型程度-C_中位数


附件列表
1730440169405.jpg

原图尺寸 63.77 KB

1730440169405.jpg

1730439857516.jpg

原图尺寸 270.72 KB

1730439857516.jpg

二维码

扫码加我 拉你入群

请注明:姓名-公司-职位

以便审核进群资格,未注明则拒绝

栏目导航
热门文章
推荐文章

说点什么

分享

扫码加好友,拉您进群
各岗位、行业、专业交流群