经管之家App
让优质教育人人可得
立即打开
全部版块
我的主页
›
论坛
›
经管考试 九区
›
经管考证
›
金融类
求助MFE sample question 35
楼主
feifeivvvi
2170
7
收藏
2011-11-13
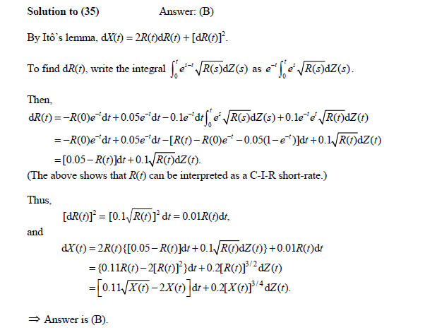
第35题答案中有一步不知道怎么来的... 求教
题目:
答案:
答案里面下面这一步中不知道第一个intergral怎么出来的...
扫码加我 拉你入群
请注明:姓名-公司-职位
以便审核进群资格,未注明则拒绝
全部回复
沙发
deanwj
2011-11-13 08:26:33
扫码加我 拉你入群
请注明:姓名-公司-职位
以便审核进群资格,未注明则拒绝
藤椅
feifeivvvi
2011-11-13 13:31:05
deanwj 发表于 2011-11-13 08:26
恩.. 这个我看懂了... 那后来怎么到 [R(t)-R(0)*e^-t-0.05(1-e^-t)]的呢?
扫码加我 拉你入群
请注明:姓名-公司-职位
以便审核进群资格,未注明则拒绝
板凳
eugeneyou
2011-11-13 14:25:58
由题目中的R(t)那个等式变的
扫码加我 拉你入群
请注明:姓名-公司-职位
以便审核进群资格,未注明则拒绝
报纸
szwaf
2011-11-13 16:54:55
请问在哪里可以下载到MFE sample question呢,谢谢!
扫码加我 拉你入群
请注明:姓名-公司-职位
以便审核进群资格,未注明则拒绝
地板
予琪
2011-11-13 20:53:38
明天考试。。不淡定。。。
扫码加我 拉你入群
请注明:姓名-公司-职位
以便审核进群资格,未注明则拒绝
点击查看更多内容…
7楼
chenjs05
2011-11-14 15:35:05
明天考试,同不淡定
扫码加我 拉你入群
请注明:姓名-公司-职位
以便审核进群资格,未注明则拒绝
8楼
chenjs05
2011-11-14 15:36:11
明天考试,同不淡定
扫码加我 拉你入群
请注明:姓名-公司-职位
以便审核进群资格,未注明则拒绝
相关推荐
2008 MLC SAMPLE QUESTION 完整
请教,CFA网站上2010年需要付费的那个Sample question有谁下载过啊?哪里找得到啊。
求助!mlc的sample question
求助 MFE sample question Q27
【讨论】MLC SAMPLE QUESTION 26
【讨论】MLC sample question 177
【讨论】MLC sample question 232
C sample question 273 和292-295题
小弱请教一道题:FM sample question中FE部分的第六题,贴中附题目,谢谢!
请问所谓的sample question要去哪里找?
栏目导航
金融类
微观经济学
跨学科讨论区
真实世界经济学(含财经时事)
金融实务版
休闲灌水
热门文章
科研时间70%耗在“下载-复制-粘贴”?零代码 ...
精准匹配,菁英相伴--经管之家单身俱乐部, ...
我该如何记住你?智能体记忆系统的演化之路
2026年Agent领域十大趋势判断
蔡定创《信用价值论》中货币需求新公式研究
202601-中国智能驾驶行业趋势白皮书
到2032年全球RJ11连接器市场规模将接近12.4 ...
油罐车加油系统,全球前10强生产商排名及市 ...
无上高明的“无为”“无住”哲学在传统中国
现代数学基础 现代极限理论及其在随机结构中 ...
推荐文章
2026JG学术冬训营:从Stata初高到Python机器 ...
【必看】【本版版规,欢迎发悬赏贴求助】
26年寒假天津站|Gemini论文写作&数据分析 ...
关于如何利用文献的若干建议
关于学术研究和论文发表的一些建议
关于科研中如何学习基础知识的一些建议 (一 ...
一个自编的经济学建模小案例 --写给授课本科 ...
AI智能体赋能教学改革: 全国AI教育教学应用 ...
2025中国AIoT产业全景图谱报告-406页
关于文献求助的一些建议
说点什么
分享
微信
QQ空间
QQ
微博
扫码加好友,拉您进群
各岗位、行业、专业交流群