全部版块 我的主页
论坛 金融投资论坛 六区 金融学(理论版)
2801 12
2011-12-12


Rotation of IMG_0427.jpg 最优解是如何求出来的,求详细过程。 解出者奖100.thx 补充:从“消费者的最优化问题”如何得到“该最优化问题的一价条件的”? 奖1000了!!
二维码

扫码加我 拉你入群

请注明:姓名-公司-职位

以便审核进群资格,未注明则拒绝

全部回复
2011-12-12 17:31:12
帮不了你  帮你顶贴
二维码

扫码加我 拉你入群

请注明:姓名-公司-职位

以便审核进群资格,未注明则拒绝

2011-12-12 17:40:00
看了你的题目,还是不知道你想知道什么是怎么计算的。说清楚一点,可能大家更容易帮到你。
二维码

扫码加我 拉你入群

请注明:姓名-公司-职位

以便审核进群资格,未注明则拒绝

2011-12-14 09:41:45
给出完整解法的奖1000.
提供帮助的奖100.
二维码

扫码加我 拉你入群

请注明:姓名-公司-职位

以便审核进群资格,未注明则拒绝

2011-12-20 13:51:15
帮忙顶
二维码

扫码加我 拉你入群

请注明:姓名-公司-职位

以便审核进群资格,未注明则拒绝

2012-5-21 08:26:57
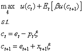
设et是t期原始的消费水平,最优化问题以及约束条件请见图片。
人大.gif
把c(t)以及c(t+1)这两个等式代入最大化目标函数中,并求导:
人大2.gif
二维码

扫码加我 拉你入群

请注明:姓名-公司-职位

以便审核进群资格,未注明则拒绝

点击查看更多内容…
相关推荐
栏目导航
热门文章
推荐文章

说点什么

分享

扫码加好友,拉您进群
各岗位、行业、专业交流群