经管之家App
让优质教育人人可得
立即打开
全部版块
我的主页
›
论坛
›
计量经济学与统计论坛 五区
›
计量经济学与统计软件
蒙特卡洛进行极大似然估计的问题。
楼主
jornad
4345
8
收藏
2011-12-14
请问有没有前辈做过运用蒙特卡洛进行模拟计算进行极大似然估计的哇,似然函数形式知道的,参数未知,抽取N次路径,每次路径中都包含这些参数,在matlab中怎么实现呢,望蒙特卡洛高手指点一下。
扫码加我 拉你入群
请注明:姓名-公司-职位
以便审核进群资格,未注明则拒绝
全部回复
沙发
far_faraway
2011-12-14 21:36:16
你把函数贴出来,别人好帮你写程序。
扫码加我 拉你入群
请注明:姓名-公司-职位
以便审核进群资格,未注明则拒绝
藤椅
jornad
2011-12-15 10:33:32
far_faraway 发表于 2011-12-14 21:36
你把函数贴出来,别人好帮你写程序。
好的,谢谢提醒。
扫码加我 拉你入群
请注明:姓名-公司-职位
以便审核进群资格,未注明则拒绝
板凳
far_faraway
2011-12-15 13:35:06
这个不难啊,你把函数贴出来估计很快就会有人帮你搞定。
扫码加我 拉你入群
请注明:姓名-公司-职位
以便审核进群资格,未注明则拒绝
报纸
jornad
2011-12-15 16:52:25
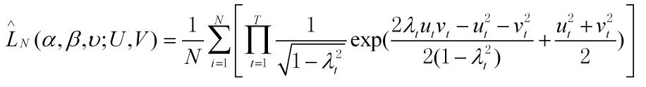
RE: 蒙特卡洛进行极大似然估计的问题。
主要是二元正态Copula当中相关系数假如服从
这个形式,其中
服从标准正态独立同分布,极大似然函数是
,
和
都是已知的,如何实现这种带参数的蒙特卡洛模拟呢?
附件列表
图片6.jpg
原图尺寸 691 Bytes
扫码加我 拉你入群
请注明:姓名-公司-职位
以便审核进群资格,未注明则拒绝
地板
yishions
2011-12-15 19:47:02
帮你顶顶
扫码加我 拉你入群
请注明:姓名-公司-职位
以便审核进群资格,未注明则拒绝
点击查看更多内容…
7楼
nkmaxwell
2013-3-24 16:00:20
这个论坛不像有人帮忙干这个的
扫码加我 拉你入群
请注明:姓名-公司-职位
以便审核进群资格,未注明则拒绝
8楼
xuying1221
2013-4-27 11:36:23
帮顶。。希望有大神现身
扫码加我 拉你入群
请注明:姓名-公司-职位
以便审核进群资格,未注明则拒绝
9楼
ggg潇洒哥
2014-3-24 23:11:55
lz加油!!!
扫码加我 拉你入群
请注明:姓名-公司-职位
以便审核进群资格,未注明则拒绝
相关推荐
极大似然估计算法
极大似然估计求助
急求高手解决!极大似然估计中的滞后项处理问题
蒙特卡洛进行极大似然估计的问题。
对数极大似然估计问题
请教一个关于极大似然估计编程的问题
关于极大似然估计
还是那个极大似然估计,
拟极大似然估计(或准极大似然估计)
极大似然估计值
栏目导航
计量经济学与统计软件
stata专版
行业分析报告
经管文库
文献求助专区
数据交流中心
热门文章
CDA数据分析师:以数据思维赋能企业管理,驱 ...
高观点下的初等数学概念+沈钢编著,2001
初等数学论丛 第3辑
黑龙江统计年鉴2025(Excel版)
【24重磅,顶刊热点!】2001-2024上市公司大数 ...
当AI遇见ML:高校教师如何借助AI与机器学习 ...
CDA 认证考试大纲 2025 重磅更新:一二级考 ...
CDA数据分析师实战:指标体系搭建的全流程方 ...
三大报表钩稽关系
管理者微观经济学 Microeconomics for Mana ...
推荐文章
12月武汉站|Deepseek辅助论文写作与数据分 ...
2026JG学术冬训营:从Stata初高到Python机器 ...
关于如何利用文献的若干建议
关于学术研究和论文发表的一些建议
关于科研中如何学习基础知识的一些建议 (一 ...
一个自编的经济学建模小案例 --写给授课本科 ...
AI智能体赋能教学改革: 全国AI教育教学应用 ...
2025中国AIoT产业全景图谱报告-406页
关于文献求助的一些建议
几种免费下载文献的方法----我的文献应助经
说点什么
分享
微信
QQ空间
QQ
微博
扫码加好友,拉您进群
各岗位、行业、专业交流群