经管之家App
让优质教育人人可得
立即打开
全部版块
我的主页
›
论坛
›
提问 悬赏 求职 新闻 读书 功能一区
›
经管百科
›
爱问频道
请教关于partial derivatives
楼主
haoxianggao
701
0
收藏
2012-01-24
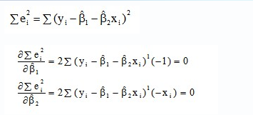
怎么从第一个式子得到后面两个啊?
谢谢谢谢
扫码加我 拉你入群
请注明:姓名-公司-职位
以便审核进群资格,未注明则拒绝
相关推荐
Futures Options and Other Derivatives_5ed相关
[讨论]请教什么是Property Derivatives?
求john hull 的 options, futures and other derivatives 4版的英文答案
[免费]The handbook of credit derivatives
[分享]Identification and estimation of local average derivatives
[下载]Modelling And Hedging Equity Derivatives
Risk Management of Financial Derivatives
急求: Derivatives Pricing: The Classic Collection
请问金程百题的第125,126,127 求导类型做法
请教关于partial derivatives
栏目导航
爱问频道
经管高考
学术道德监督
休闲灌水
学道会
MATLAB等数学软件专版
热门文章
中国力量席卷全球- 绿色赋能地产先行 掀起全 ...
中国风能太阳能资源年景公报(2025年)
计算机行业:SpaceX,从“变革”中崛起的“ ...
几何(第五卷)[法] M. 贝尔热
求助英文文献一篇
《寻路集:在全球网络中寻找合适节点 》周其 ...
几何(第四卷)[法] M. 贝尔热
我该如何记住你?智能体记忆系统的演化之路
CDA数据分析脱产就业班于2026年3月7日开班! ...
表格结构数据的核心特征及具象实例解析
推荐文章
2026JG学术冬训营:从Stata初高到Python机器 ...
【必看】【本版版规,欢迎发悬赏贴求助】
26年寒假天津站|Gemini论文写作&数据分析 ...
关于如何利用文献的若干建议
关于学术研究和论文发表的一些建议
关于科研中如何学习基础知识的一些建议 (一 ...
一个自编的经济学建模小案例 --写给授课本科 ...
AI智能体赋能教学改革: 全国AI教育教学应用 ...
2025中国AIoT产业全景图谱报告-406页
关于文献求助的一些建议
说点什么
分享
微信
QQ空间
QQ
微博
扫码加好友,拉您进群
各岗位、行业、专业交流群