经管之家App
让优质教育人人可得
立即打开
全部版块
我的主页
›
论坛
›
数据科学与人工智能
›
数据分析与数据科学
›
MATLAB等数学软件专版
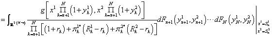
请教求一个N重积分的方法
楼主
yjhanywhere
2465
3
收藏
2012-04-03
就是想用数据模拟上面这个积分的结果,积分里面的其他变量都是已知的,N很大(>1000),用int函数一重一重的写不太靠谱。matlab有没有其他的函数或者办法可以方便点的做出来啊??新接触matlab,还请大家指教。
或者用其他的软件能做出来也希望能回复给我,谢谢了!
如果您可以写一个可用的程序可以回复并出售给我,只要价格不是很离谱我会买下来的。谢谢各位了
扫码加我 拉你入群
请注明:姓名-公司-职位
以便审核进群资格,未注明则拒绝
全部回复
沙发
aibieli731001
2012-4-3 20:48:07
这个函数也太复杂了吧?
扫码加我 拉你入群
请注明:姓名-公司-职位
以便审核进群资格,未注明则拒绝
藤椅
dotatini
2012-4-3 21:04:27
看着都眼晕
扫码加我 拉你入群
请注明:姓名-公司-职位
以便审核进群资格,未注明则拒绝
板凳
qibbxxt
2012-4-6 11:20:59
有很多种办法:
1. 用蒙特卡罗法
2.natlab的官方网站上的文件交换里面有这样的函数
3.roc的书中提供了N重积分的代码,《Matlab高效编程技巧与应用》
扫码加我 拉你入群
请注明:姓名-公司-职位
以便审核进群资格,未注明则拒绝
相关推荐
求助: 高维响亮的程序
求matlab
MATLAB 一问!
matlab
MATLAB
MATLAB
matlab
matlab最新破解版安装包
MATLAB
MATLAB R2020a
栏目导航
MATLAB等数学软件专版
经管文库(原现金交易版)
文献求助专区
经管类求职与招聘
SAS专版
行业分析报告
热门文章
当AI遇见ML:高校教师如何借助AI与机器学习 ...
CDA 认证考试大纲 2025 重磅更新:一二级考 ...
CDA数据分析师实战:指标体系搭建的全流程方 ...
Essentials of Statistics for Research by ...
2025年AI智能体的兴起:未来展望报告(英)
2025 中国汽车可持续发展蓝皮书
合规与体验双升级!中高端LED牙齿美白灯的增 ...
祝贺奇瑞!祝贺尹同跃!
“奇瑞品质”再获权威认证
电力设备行业报告:算力革命与能源革命共振 ...
推荐文章
12月武汉站|Deepseek辅助论文写作与数据分 ...
2026JG学术冬训营:从Stata初高到Python机器 ...
关于如何利用文献的若干建议
关于学术研究和论文发表的一些建议
关于科研中如何学习基础知识的一些建议 (一 ...
一个自编的经济学建模小案例 --写给授课本科 ...
AI智能体赋能教学改革: 全国AI教育教学应用 ...
2025中国AIoT产业全景图谱报告-406页
关于文献求助的一些建议
几种免费下载文献的方法----我的文献应助经
说点什么
分享
微信
QQ空间
QQ
微博
扫码加好友,拉您进群
各岗位、行业、专业交流群