 
    
    立即打开
    
 
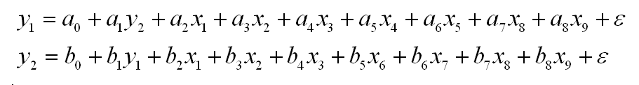
                                        最近被联立方程的识别问题折腾了好久,我建立的这个方程能被识别吗?
其中:y1、y2是内生变量;
         x1到x9都是外生变量;
         没有滞后内生变量;
         两个方程的外生变量是一样多的;(二个方程的外生变量能一样多吗?)
         我另外选取了二个工具变量,没有引入到方程中来;(工具变量需要引入到方程中来吗?)
我知道识别要看满不满足阶条件和秩条件,阶条件是满足的,满足秩条件吗?(秩条件我不是很懂)。还麻烦各位大侠教教小弟!不胜感激!
 
                                        
                                     
 
 
![二维码]() 
扫码加我 拉你入群
请注明:姓名-公司-职位
以便审核进群资格,未注明则拒绝
 
 
 
 
   
  全部回复
  
 
 
 
 
 
 
 
![二维码]() 
扫码加我 拉你入群
请注明:姓名-公司-职位
以便审核进群资格,未注明则拒绝
 
 
 
 
   
  
相关推荐
栏目导航
热门文章
推荐文章
 
 
    
 扫码加好友,拉您进群
扫码加好友,拉您进群