全部版块 我的主页
论坛 站务区 十一区 新手入门区
6441 3
2012-04-15

一. 建模题A(25分):(仅需阐述建模过程,不需计算)

古诺(GUNUE)公司物流配送分析

古诺公司的化工设备事业部在全美有三个生产工厂,生产的GL-751高温蒸馏罐按照国际标准集装箱为单位发到国内的四个配送中心。当前,工厂123的每月产量是12箱、17箱和11箱,对每个配送中心每月发货一次,均为10箱。工厂与配送中心的运输距离见下表:

到配送中心的距离(公里)

中心A

中心B

中心C

中心D

工厂1

80

100

100

140

工厂2

160

不允许

80

120

工厂3

100

120

120

80

运输成本由固定成本和可变成本组成:每发一次货需要固定成本100元,而每个集装箱的运价是0.5/公里。由于工厂2的产品不符合配送中心B所在区域的环境保护法规的某些条款,目前暂时不对中心B进行配送。同时,由于中心A与工厂1已经签署了合作合同,要求两者之间至少保证每月2箱的直接点对点供应。为了照顾工厂2的生产,配送中心B多年来的惯例是:如果该月得到工厂1的配货,则一定从工厂3进货,而且数量上是工厂1当月配货给中心B额度量的50%;如果该月不从工厂1进货,则也不从工厂3进货。

现在公司董事会要求对公司的运输成本进行分析,请你对这个问题进行基于线性规划方面的建模分析,为进一步的上机操作做好书面上的准备。

二. 建模题B(25分):(仅需阐述建模过程,不需计算)

大学生涯中的计算机购买计划(最短路问题)

刚刚收到某高校录取通知书的小明同学打算在4年学习生涯中认真地学习和使用计算机。小明原本计划在开学初买一部新计算机,并使用4年后在二手市场买掉。这个计划在小明拿到以下电脑行情时产生了动摇,见下页表:

    年度电脑行情表      (单位:元)

年 级

当年初预测价格

当年末二手价格

第一学年

9900

7500

第二学年

7000

6000

第三学年

6000

4000

第四学年

5000

3500

除了购置成本,小明预测自己在使用过程中有维修、软件维护、硬件升级等额外支出。按照经验,一部新电脑使用一年额外支出是100元,连续使用2年是300元,连续使用3年是500元。一部连续使用4年的电脑,支出高达1000元。

假设小明的购买新电脑或者出售旧电脑的时刻总是在学年交接的时点。请帮助小明做出4年的大学生涯中,如何安排购买计划,使得支出总额最小的规划模型。

三. 建模题C(25分):(仅需阐述建模过程,不需计算)

加利(ADDPROFIT)公司风险投资(VC)的规划问题

加利公司是一家专门管理风险创业项目的投资机构。公司现在制定了一个从2010年到2014年的5年投资计划,5年中每年初的可支配风险投资分别是25、30、40、40和45万元,合计180万元。现在预计在2010年初,将有10个5年期的投资项目可以选择。这些创业风险投资的特点是:一旦确定投资某项目,要求加利公司连续在5年中的每年年初按照合同规定额度注资。同时,该项目的投资回报是按照全部投资额度和合同协商的回报率,在第5年末偿还所有投资后一次交割。公司备选项目的阶段投资详情见表。 表7-2.png

请为该公司的最大投资回报的投资方案,做出科学的决策规划模型。

四  操作题(25分):(以下问题ABC任选一个。要求:提供计算机操作结果的截图。)

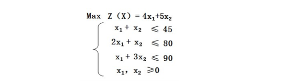
操作A;请利用加载宏规划出最优解和最大值。

表4-1

操作B:用软件画出下述决策问题的决策树。

力福特机械厂考虑来年为国外一家公司的产品提供部件。国外公司对部件的需求量取决于当年产品销售情况,可能是2000件或3000件,其概率分别为0.4和0.6。机械厂有两种方案:一是利用现有设备生产,每一部件的成本为0.6元;二是对现有设备改造提高效率,但需投资100万元,其成功的概为0.65。如果成功,每一部件的成本降到0.4万;如果失败,可以改用第一种方案,但要损失投资费。在签署合同的谈判过程中,机械厂强调购买数量的不确定会给该厂造成损失,因此国外公司同意在每一部件1万元的基础上,若机械厂生产3000件而公司购买2000件,则每一件补偿0.1万元;若机械厂生产2000件而公司欲购买3000件,则按2000件成交。

操作C:某公司面临5项任务,计划派甲、乙、丙、丁、戊分别去做。由于戊临时被公司派往国外,因此公司只有让甲、乙、丙、丁中的一个人同时担任两项任务,其他三人仍旧单独完成一项任务。各人完成相应任务时间如下表。请为公司制定一个总工时最小的指派方案。 表4-3

求高手帮忙解决下问题。。前三题只需建模思想,第四题需要截图。。谢谢了。。


二维码

扫码加我 拉你入群

请注明:姓名-公司-职位

以便审核进群资格,未注明则拒绝

全部回复
2012-4-15 15:37:44
matlab软件就能很快解决的
二维码

扫码加我 拉你入群

请注明:姓名-公司-职位

以便审核进群资格,未注明则拒绝

2012-4-16 18:37:03
握筹布画,运筹决策,运筹决胜,运筹帷幄、决胜千里。

运筹学学习好了有用处的!不过我确实是门外汉,不懂什么的。
二维码

扫码加我 拉你入群

请注明:姓名-公司-职位

以便审核进群资格,未注明则拒绝

2012-4-28 15:22:45
最近正在看胡开权的运筹学,觉得好难啊
二维码

扫码加我 拉你入群

请注明:姓名-公司-职位

以便审核进群资格,未注明则拒绝

相关推荐
栏目导航
热门文章
推荐文章

说点什么

分享

扫码加好友,拉您进群
各岗位、行业、专业交流群