全部版块 我的主页
论坛 提问 悬赏 求职 新闻 读书 功能一区 经管文库(原现金交易版)
365 0
2025-03-16

数据简介

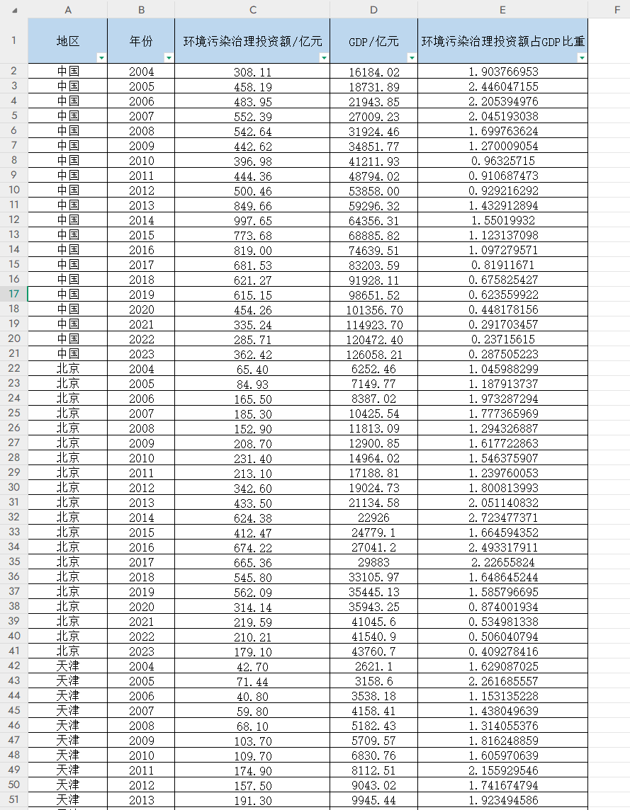
环境污染治理投资额是指在工业污染源治理和城镇环境基础设施建设的资金投入中,用于形成固定资产的资金。环境污染治理投资包括城镇环境基础设施建设投资、工业污染源治理投资和当年完成环保验收项目的环保投资。环境污染治理投资能够反映ZF和企业在治理环境污染、改善环境质量方面的共同努力,以及环境规制政策的强度。


相关数据

地区、年份、环境污染治理投资额/亿元、GDP/亿元、环境污染治理投资额占GDP比重


1.png




二维码

扫码加我 拉你入群

请注明:姓名-公司-职位

以便审核进群资格,未注明则拒绝

相关推荐
栏目导航
热门文章
推荐文章

说点什么

分享

扫码加好友,拉您进群
各岗位、行业、专业交流群