全部版块 我的主页
论坛 提问 悬赏 求职 新闻 读书 功能一区 经管文库(原现金交易版)
261 0
2025-04-23
交通运输行业全国民用航空航线及飞机架数1985-2023运输量通用飞行时间767747757A320A310客运量

数据来源:基于世界银行wdi、国内各部委公布数据及各地统计数据整理,或相关省、市数据
数据范围:全球、全国、或各省份地市的统计数据
数据期间:(参见其文件名的标识表达了数据年度、或月度日度期间)
主要指标:
交通运输行业全国民用航空航线及飞机架数1985-2023
更新次数        年度标识        更新日期        民用航空航线条数        民用国际航线条数        民用国内航线条数        民用地区航线条数        民用航空航线里程        民用国际航线里程        民用国内航线里程        民用地区航线里程        民用航班飞行机场        民用飞机架数        运输飞机架数        大型飞机架数        波音747飞机架数        波音737飞机架数        波音757飞机架数        波音767飞机架数        MD90飞机架数        MD82飞机架数        A310飞机架数        A320飞机架数        图154飞机架数        Bae-146飞机架数        小型飞机架数        运7飞机架数        通用飞机架数

0b90ca1110f9a9a9ec755e4291cf6dc.png




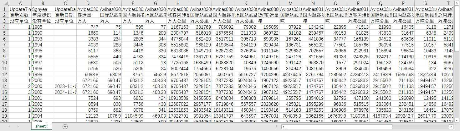
交通运输行业全国民用航空运输量及通用飞行时间1985-2023
更新次数        年度标识        更新日期        客运量        国际航线客运量        国内航线客运量        地区航线客运量        旅客周转量        国际航线旅客周转量        国内航线旅客周转量        地区航线旅客周转量        货(邮)运量总计        国际航线货(邮)运量        国内航线货(邮)运量        地区航线货(邮)运量        货邮周转量总计        国际航线货邮周转量        国内航线货邮周转量        地区航线货邮周转量        总周转量        国际航线总周转量        国内航线总周转量        地区航线总周转量        通用飞行时间        农林业航空作业飞行时间        航空护林飞行时间        播种造林飞行时间        工业航空作业飞行时间        航空探矿

fe5dab090ac24b2746ecd08845ee6ab.png
二维码

扫码加我 拉你入群

请注明:姓名-公司-职位

以便审核进群资格,未注明则拒绝

相关推荐
栏目导航
热门文章
推荐文章

说点什么

分享

扫码加好友,拉您进群
各岗位、行业、专业交流群