经管之家App
让优质教育人人可得
立即打开
全部版块
我的主页
›
论坛
›
数据科学与人工智能
›
数据分析与数据科学
›
R语言论坛
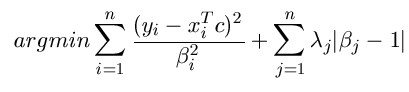
求助:用R如何求下式达到最小值时参数的值?有没可以参考的程序包?
楼主
heartfly1980
2230
1
收藏
2012-06-28
求助:用R如何求下式达到最小值时参数的值?有没可以参考的程序包?
附件列表
))K7G)NYF6~{L(X%2E7Y3GP.jpg
原图尺寸 7.77 KB
扫码加我 拉你入群
请注明:姓名-公司-职位
以便审核进群资格,未注明则拒绝
全部回复
沙发
DM小菜鸟
2014-12-17 17:19:02
argmin里面这个没有现成儿的包和函数,需要自己写一个了
关于argmin,应该是概率最小时的变量取值对吧
公式写出来,用argmin()求就好了
就是谁谁谁
.
argmin()
扫码加我 拉你入群
请注明:姓名-公司-职位
以便审核进群资格,未注明则拒绝
相关推荐
R程序求解多元方程组的程序包
怎么一次性加载所有的程序包
R:已知函数,如何知道这个函数出自哪个程序包?
求教关于程序包版本旧安装不上的问题
想要下载一个程序包却报错
R语言怎么做隐马尔科夫过程
连玉君pvar2程序包 SOC IRF DECOMP均可做 楼主亲测有效
请问各位老师,谁有matlab关于ms-dccgarch的程序包。最好注释清楚,有赋值语句的。
R语言程序包“GWmodel”求助
关于rd程序包的问题
栏目导航
R语言论坛
运营管理(物流与供应链管理)
stata专版
行业分析报告
经管文库
文献求助专区
热门文章
CDA数据分析脱产就业班在2026年3月7日开班了 ...
二次元开放世界游戏,席卷全球,新潮将至-- ...
2026年中国氢能产业发展白皮书
AI Hermes agent安装操作步骤附原生态Herme ...
CDA数据科学研究院发布《2026 全球数智化人 ...
ChatGPT Images 2.0震撼发布:AI不再只画画 ...
CAIE LEVEL Ⅰ考试更新说明(2026年4月)
从“数字”到“数据”:CDA数据分析师视角下 ...
CDA 认证考试大纲 2025 重磅更新:一二级考 ...
2026中国制造迈向全球价值链中高端:转型、 ...
推荐文章
五一充电,学术突围!四大AI赋能王牌课程, ...
关于学术研究和论文发表的一些建议
几种免费下载文献的方法----我的文献应助经
【必看】【本版版规,欢迎发悬赏贴求助】
【新课】26年3月|Gemini辅助论文写作与数据 ...
关于如何利用文献的若干建议
关于科研中如何学习基础知识的一些建议 (一 ...
一个自编的经济学建模小案例 --写给授课本科 ...
AI智能体赋能教学改革: 全国AI教育教学应用 ...
2025中国AIoT产业全景图谱报告-406页
说点什么
分享
微信
QQ空间
QQ
微博
扫码加好友,拉您进群
各岗位、行业、专业交流群