经管之家App
让优质教育人人可得
立即打开
全部版块
我的主页
›
论坛
›
数据科学与人工智能
›
数据分析与数据科学
›
MATLAB等数学软件专版
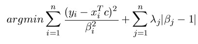
求助:用MATLAB如何求下式达到最小值时参数的值?有没可以参考的程序包?
楼主
heartfly1980
1102
1
收藏
2012-06-28
用MATLAB如何求下式达到最小值时参数的值?有没可以参考的程序包?
附件列表
))K7G)NYF6~{L(X%2E7Y3GP.jpg
原图尺寸 7.77 KB
扫码加我 拉你入群
请注明:姓名-公司-职位
以便审核进群资格,未注明则拒绝
全部回复
沙发
luckyart
2012-7-8 10:47:27
fminunc 试试看
扫码加我 拉你入群
请注明:姓名-公司-职位
以便审核进群资格,未注明则拒绝
相关推荐
分享个下MATLAB R2010b版本的网址。
请教:xy=120 如何在matlab上垂直绘制曲面?
MATLAB中矩阵为什么每一个元素都有一个方括号?
请问这4个图形使用matlab的命令应该是什么?
弱问一个关于MATLAB中赋值的问题,貌似很简单,求教!
为什么SAS和Matlab计算的结果不一样啊
做多元函数图形 matlab 等
MATLAB图像与视频处理实用案例详解
matlab详细课件带案例
matlab输入数据出错
栏目导航
MATLAB等数学软件专版
新手入门区
真实世界经济学(含财经时事)
经管文库(原现金交易版)
人力资源管理
经管高考
热门文章
表格结构数据的核心特征及具象实例解析
毕马威 - 中国内地与香港IPO市场2025年回顾 ...
2026中信里昂风水指数
2026年中国白银行业市场供需现状及发展趋势 ...
高教现代数学基础23 矩阵计算六讲 徐树方,钱 ...
求Journal of Computational and Graphical ...
查找文献Digital mapping of soil organic ...
《技术的本质》epub版本
精准匹配,菁英相伴--经管之家单身俱乐部, ...
科研时间70%耗在“下载-复制-粘贴”?零代码 ...
推荐文章
2026JG学术冬训营:从Stata初高到Python机器 ...
【必看】【本版版规,欢迎发悬赏贴求助】
26年寒假天津站|Gemini论文写作&数据分析 ...
关于如何利用文献的若干建议
关于学术研究和论文发表的一些建议
关于科研中如何学习基础知识的一些建议 (一 ...
一个自编的经济学建模小案例 --写给授课本科 ...
AI智能体赋能教学改革: 全国AI教育教学应用 ...
2025中国AIoT产业全景图谱报告-406页
关于文献求助的一些建议
说点什么
分享
微信
QQ空间
QQ
微博
扫码加好友,拉您进群
各岗位、行业、专业交流群