全部版块 我的主页
论坛 经济学论坛 三区 微观经济学
1409 9
2012-07-15
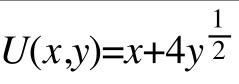
效用为 QQ20120715-1.jpg ,x的价格为1,y的价格为2,收入从100增加到150,对y的消费将增加超过10%,但少于50%。
请问这道题对不对,为什么
二维码

扫码加我 拉你入群

请注明:姓名-公司-职位

以便审核进群资格,未注明则拒绝

全部回复
2012-7-15 16:37:20
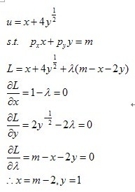
根据罗格朗日函数法,y的消费量是不会随收入的变化而变化的,收入只会引起X消费量的变化,所以应该是错误的。
二维码

扫码加我 拉你入群

请注明:姓名-公司-职位

以便审核进群资格,未注明则拒绝

2012-7-15 16:57:59
拟线性效用函数,若y>0则不随m变化
二维码

扫码加我 拉你入群

请注明:姓名-公司-职位

以便审核进群资格,未注明则拒绝

2012-7-15 17:06:54
未命名.jpg
判断题时可用边际替代率等于价格比的简便方法来计算。
最后带入预算约束即可观察变化。
二维码

扫码加我 拉你入群

请注明:姓名-公司-职位

以便审核进群资格,未注明则拒绝

2012-7-15 21:57:47
好牛的ls啊
二维码

扫码加我 拉你入群

请注明:姓名-公司-职位

以便审核进群资格,未注明则拒绝

2012-7-15 22:27:31
econnotes 发表于 2012-7-15 16:57
拟线性效用函数,若y>0则不随m变化
yeap 毕竟是判断题
二维码

扫码加我 拉你入群

请注明:姓名-公司-职位

以便审核进群资格,未注明则拒绝

点击查看更多内容…
栏目导航
热门文章
推荐文章

说点什么

分享

扫码加好友,拉您进群
各岗位、行业、专业交流群