全部版块 我的主页
论坛 提问 悬赏 求职 新闻 读书 功能一区 经管文库(原现金交易版)
180 1
2025-07-03

学术型和直观型股票博彩指数



学术型股票博彩指数计算

   

      首先定义股票i在t月的均价Price,即个股月度成交金额与交易股数的比值。相较于收盘价,月度均价更能反映股票在月内的总体价位。然后构造股票的特质波动率和特质偏度。对于每只股票,先使用当月的日度数据做如下回归:


212717csb0nmklifcueusi.gif


      其中, 21271801gq8da899qz9iu0.gif 212719ll06lkt6isz6kk06.gif 分别为股票i在当月第d日的收益率和无风险收益率, 212718m8uheq7c8vqq9i78.gif 212719x2rh20dvzrrzvxzq.gif 21272058bqj511fq8h1q1u.gif
分别为股票市场在当月第d日的市场因子、公司规模因子和账面市值比因子。
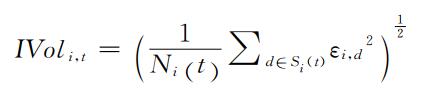
      然后根据如下公式构造股票i在t月的特质波动率(IVol)和特质偏度(ISkew):

2127200v87u6u6vu6q99gu.jpg 212721zsu9qaugpefsnppp.jpg


      其中S(t)是股票i在t月的交易日集合,N(r)表示股票i在t月的交易天数。

      在每个月,将所有股票分别根据特质波动率、特质偏度和股票均价排序,其中特质波动率和特质偏度是按由低到高的顺序排列,股票均价是按由高到低的顺序排列,并依次赋值1,2,…,N,其中N为该月份的股票总数。

      股票i在t月的学术型博彩指数公式为:

212721v46alhta1va39p99.gif


其中,
  • 212722vmqzmkkum1mm03ux.gif 代表股票i在t月的特质波动率排名
  • 2127224tg66v0civgvrrsc.gif 代表股票i在t月的特质偏度排名
  • 212723q7qxq0a3u0frmufi.gif 代表股票i在t月的股票均价排名


直观型股票博彩指数计算

      我们定义Max为股票i在t月最大的日收益率,在每个月,将所有股票分别根据特质波动率、最大日收益率和股票均价排序,其中特质波动率和最大日收益率是按由低到高的顺序排列,股票均价是按由高到低的顺序排列,并依次赋值1,2……,N,其中N为该月份的股票总数。
      股票i在t月的直观型博彩指数公式为:

212723cyz4qfske1zsyp5n.gif

212724mm7mfyzk9hvnm5v5.gif 代表股票i在t月的最大日收益率排名

学术型和直观型博彩指数的值都介于0和1之间,越接近于1,代表该股票的博彩特性越强。


参考文献

  • 陈文博, 陈浪南, 王升泉. 投资者的博彩行为研究——基于盈亏状态和投资者情绪的视角[J]. 中国管理科学, 2019(2).

数据说明
  • 原始数据包含:日个股回报率、无风险利率和三因子数据(1991-2024年的完整数据)
  • 数据格式为:dta格式(Stata14及以上版本)  最后计算结果格式有Excel格式
  • 选取1991-2024年A股上市公司为研究对象
  • 最终结果为月度数据

数据截图


QQ截图20250703233744.jpg



结果各年数据量
QQ截图20250703233722.jpg

描述性统计
相关性分析
QQ截图20250703233711.jpg


附件下载

数据比较大,放在百度网盘

QQ截图20250703233824.jpg









经管之家:momingiqmiao7
欢迎关注,分享更多实用的数据,独家发布,严禁转载获利,转载必究,有任何问题在可以帖子下方回复,及时回复

注意:支持经管之家和微信购买(账号同名),其他渠道购买无质量保证和售后保障,批量购买可享优惠

关注帖子索引2022年】【帖子索引2021年】【使用常见问题

点击查看更多帖子】【Stata软件下载】【Stata免费学习资料









二维码

扫码加我 拉你入群

请注明:姓名-公司-职位

以便审核进群资格,未注明则拒绝

全部回复
2025-7-3 23:42:54
本数据源自上市公司权威数据库,由Stata软件整理得出,真实可靠可复现,多次人工校对确保数据的准确性,如何任何问题可联系本人(momingqimiao7)沟通!
二维码

扫码加我 拉你入群

请注明:姓名-公司-职位

以便审核进群资格,未注明则拒绝

相关推荐
栏目导航
热门文章
推荐文章

说点什么

分享

扫码加好友,拉您进群
各岗位、行业、专业交流群