全部版块 我的主页
论坛 提问 悬赏 求职 新闻 读书 功能一区 经管文库(原现金交易版)
350 0
2025-07-24
变量说明
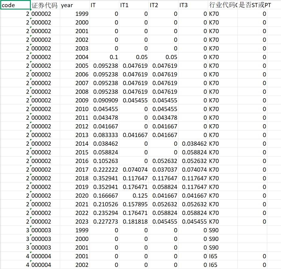
当高管具有与企业信息化管理或信息技术相关的教育或从业经历时,我们认为其具有信息技术背景。根据教育部2012年发布的《普通高等学校本科专业目录》,信息技术教育背景是指具有电子信息类( 0807)、计算机类( 0809).电子商务类( 1208)、信息与计算科学( 070102)、信息管理与信息系统(120102)、信息资源管理( 120503)等专业背景;从业经历是指具有信息技术(IT)、信息管理、信息系统、信息化建设、ERP建设、软件开发、互联网/网络开发、计算机/电脑、电子工程、系统工程、系统构建、电子商务和电子政务、物联网、云计算等工作经历。
IT1:董事的信息技术背景,用上市公司拥有信息技术背景董事的比例来衡量,等于具有信息技术背景的董事数量除以董事会总人数IT2:高层管理人员的信息技术背景,用上市公司拥有信息技术背景高层管理人员的比例来衡量,等于具有信息技术背景的高层管理人员数量除以高层管理人员总人数
IT3:监事的信息技术背景,用上市公司拥有信息技术监事的比例来衡量,等于具有信息技术背景的监事人员数量除以监事总人数IT4:董监高人员的信息技术背景,用上市公司拥有信息技术董监高人员的比例来衡量,等于具有信息技术背景的董监高人员数量除以董监高人员总人数
附件列表
005.png

原图尺寸 462.7 KB

005.png

004.png

原图尺寸 201.38 KB

004.png

上市公司高管技术背景

大小:76 Bytes

只需: RMB 20 元  马上下载

上市公司高管技术背景

二维码

扫码加我 拉你入群

请注明:姓名-公司-职位

以便审核进群资格,未注明则拒绝

栏目导航
热门文章
推荐文章

说点什么

分享

扫码加好友,拉您进群
各岗位、行业、专业交流群