全部版块 我的主页
论坛 计量经济学与统计论坛 五区 计量经济学与统计软件 Stata专版
3177 3
2025-08-05
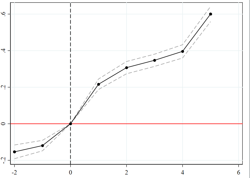
用的y是词频加一后取log。是不是因为这个才没有过?
而且这个y 搭很多控制变量都比较容易过。
如果是这样的话,要不要换一个衡量方式?
或者用什么方法可以调整? 屏幕截图 2025-08-05 223218.png 屏幕截图 2025-08-05 221103.png
二维码

扫码加我 拉你入群

请注明:姓名-公司-职位

以便审核进群资格,未注明则拒绝

全部回复
2025-8-6 16:14:14
不是因为被解释变量形式而造成不通过
不要滥用DID,不要为了通过而通过
二维码

扫码加我 拉你入群

请注明:姓名-公司-职位

以便审核进群资格,未注明则拒绝

2025-8-8 11:12:20
wdlbcj 发表于 2025-8-6 16:14
不是因为被解释变量形式而造成不通过
不要滥用DID,不要为了通过而通过
那有什么好办法通过吗?不用这个变量还是可以调节的
二维码

扫码加我 拉你入群

请注明:姓名-公司-职位

以便审核进群资格,未注明则拒绝

2025-8-8 11:30:36
歆绥 发表于 2025-8-8 11:12
那有什么好办法通过吗?不用这个变量还是可以调节的
你这里的did找的政策冲击应该是有问题的,忽视了之前的政策效果
二维码

扫码加我 拉你入群

请注明:姓名-公司-职位

以便审核进群资格,未注明则拒绝

相关推荐
栏目导航
热门文章
推荐文章

说点什么

分享

扫码加好友,拉您进群
各岗位、行业、专业交流群