全部版块 我的主页
论坛 经济学论坛 三区 行为经济学与实验经济学
443 0
2025-09-07

张伟平240页论文狗屁不通,假设下假设,估计中估计,完全就是胡编乱造,毫无逻辑可言。居然当选院士。 562c11dfa9ec8a13becd64122dd4fc9fa2ecc051.jpg




什么是数学定理?


1,数学定理必须是一个明确的判断。


2,数学定理必须是一个全称(一切,所有的,任何,每一个)判断。


3,数学定理是一个已经经过正确的演绎法证明的数学命题(不能使用归纳法和类比法证明,演绎法-三段论有256个格式,只有19个格式有效)。


4,数学定理结构(或者说命题结构)由主项与谓项组成。


5,主项与谓项必须是全异关系(不能是种属关系,例如“庞加莱猜想“就是一个错误的命题,主项与谓项是种属关系;“素数有无穷多个”就是一个正确的命题,因为主项”素数“,与谓项”无穷多个“是全异关系)。


6,主项和谓项的含义必须明确表示和界定,不能有“假设”“估计”。


7,数学定理必须符合语法(例如陶哲轩的”存在任意长的素数算术数列“,主项与谓项都是错误的,主项”素数算术数列”是一个集合概念。谓项“任意长“违反语法:肯定判断谓项不能周延)。


8,用公式表达的定理,每一个符号必须是明确的概念和含义,不能有歧义(例如张益唐的公式)。


9,主项必须是普遍概念或者单独概念,不能是集合概念。


10,数学定理的主项必须经过正确的”种加属差“的方法定义。例如,”素数就是大于1并且只能被1和自身整除的自然数“。


11,一个定理陈述一个给定类所有的元素不变的性质和关系,适用于所有的元素,在任何时候无区别的成立。


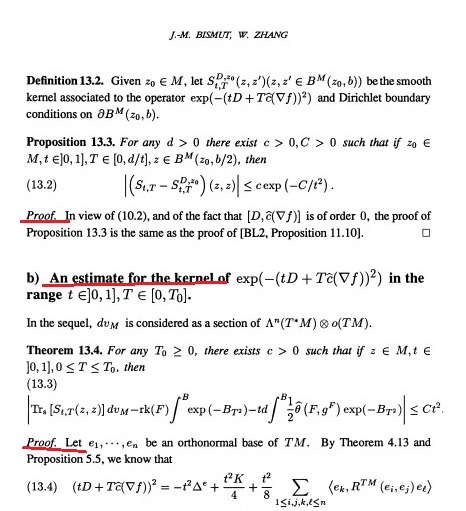
张伟平在论文中介绍的【定理】,全部都是,设,假设,假定,假设下的假设。就是说,的定理主项不明确,需要根据不同条件变换。这个就不叫“定理”了,只能是事件的推演,一个事态或者一个动力系统的推演。证明中,经过了设,假设,还要进行【估计】,估计中的估计、完全就是胡闹。


估计-归纳-类比-假设否定假设等错误的方法,就是企图绕过演绎推理,用模糊的手段掩人耳目。


张伟平的假设证明和先验估计命题证明是:


(1)没有进入因果关系;


(2)没有进入构成关系;


(3)无法可以被感知。


(4)先验估计从区分两类否定真理的角度来检视这一问题。


第一类涉及虚构或者主观创造的一些对象;


第二类涉及实际存在的对象。


假设是虚构的对象并不具有事务的全部属性。


(5)假设最后必须被证明才能进入证据链。


(6),假设理由的虚假性胡乱修改前提条件,得出错误结论。


(7),推理的无关性胡编乱造的结论不能算定理。


(8),隐含的假设性这些结论都有一个共同的缺陷,假设存在他们想要的内容,都是无关地联系他们预想的东西。


(9),论证的单一性这些论证都是违反演绎推理的基本规则,不能反推回去,正确的定理证明,百分之百可以倒推回去。估计中的估计怎么倒推回去?假设下的假设怎么倒推回去?

张伟平22.jpg 张伟平23.jpg 张伟平34.jpg 张伟平45.jpg 张伟平56.jpg 张伟平78.jpg 张伟平90.jpg 张伟平567.jpg


张伟平的老师陈省身也是胡闹,用归纳法证明

陈省身归纳-假设.jpg


为什么不能用归纳法证明?

因为设立命题时是使用少量样本归纳出来的,再用少量样本证明,就不可靠了。少量样本归纳证明只是增加了命题的可信度,不能证明整个理论的正确,这就是归纳证实的局限性。

哥德巴赫猜想举例:

原始信息(6=3+3,8=3+5,..。就是逐一归纳有限的样本,具有某种性质(两个素数之和),于是归纳推出“哥德巴赫猜想”推导出(预测)有无穷多个的数量样本的偶数也具有某种性质)。

归纳推理是基于有限观察的,从有限样本推出一般结论的推理, 它的前提是关于个别事物具有某种性质的论断, 结论却试图得出全体事物皆具有此性质的论断,中间有一个巨大的逻辑空挡。




二维码

扫码加我 拉你入群

请注明:姓名-公司-职位

以便审核进群资格,未注明则拒绝

栏目导航
热门文章
推荐文章

说点什么

分享

扫码加好友,拉您进群
各岗位、行业、专业交流群