全部版块 我的主页
论坛 经济学论坛 三区 行为经济学与实验经济学
534 1
2025-09-19
复旦大学数学院士沈维孝和数学主任陈猛使用归纳法证明,荒唐!为什么不能用归纳法证明?

因为设立命题时使用少量样本归纳出来的,再用少量样本证明,就不可靠了。少量样本归纳证明只是增加了命题的可信度,不能证明整个理论的正确,这就是归纳证实的局限性。因为归纳法没有充足理由仅仅依靠少量样本概括由无穷多个元素组成全称判断命题的属性。

举例哥德巴赫猜想:

原始信息(6=3+3,8=3+5,..。就是逐一归纳有限的样本,具有某种性质(两个素数之和),于是归纳推出“哥德巴赫猜想”推导出数量有无穷多个的样本也具有某种性质)。

在归纳基础上产生的猜想,通过演绎证明是不对等。

归纳推理是基于有限观察的,从有限样本推出一般结论的推理, 它的前提是关于个别事物具有某种性质的论断, 结论却试图得出全体事物皆具有此性质的论断,中间有一个巨大的逻辑空挡。

归纳是在一个有穷大的样本中逐一列举, 只要样本空间没有被穷尽, 使用的都是简单枚举归纳推理。

对于无穷大的样本, 我们根本不可能穷尽该样本空间, (例如哥德巴赫猜想中的偶数就有无穷多个)因此只能使用简单枚举归纳推理,简单枚举归纳推理是一种扩大前提的推理, 它的结论是不可靠的。

使用归纳推理提出假说, 其假说是非常脆弱的, 因为对它的证实是不可能的, 除非你穷尽样本空间, 而一旦如此, 你使用的已经不是归纳推理了。

它的脆弱性还表现在, 只要一个反例, 就可以容易地推翻这个假说。

无穷多个样本的数学定理必须是全称判断,数学家必须完成一个:由归纳出来的有限个事实样本去证实无穷多个元素的--不可能完全证实的命题进行演绎方法证明,并且结论是全称肯定判断的正确三段论只能是第一格的AAA式。这是绝大多数数学命题证明无法做到的。

沈维孝的归纳法荒唐证明:

沈维孝1.jpg 沈维孝2.jpg



李大潜的荒唐证明

我们将证明两个归纳步骤。首先证明 GN(k,1)蕴含 ...。

设 p,q,r 是满足 ....。

设 p~ 是由 .....。

根据 GN(2,1)我们得到 .....。

结合最后两个估计式得到 .....。

在第二个归纳步骤中,我们将证明 .....。 由于前一步可以假设 GN(j + 1,1)成立,我们有 ....。

(7) 结合估计式 (6) 和 (7) 完成证明。

李大潜归纳证明估计证明.jpg

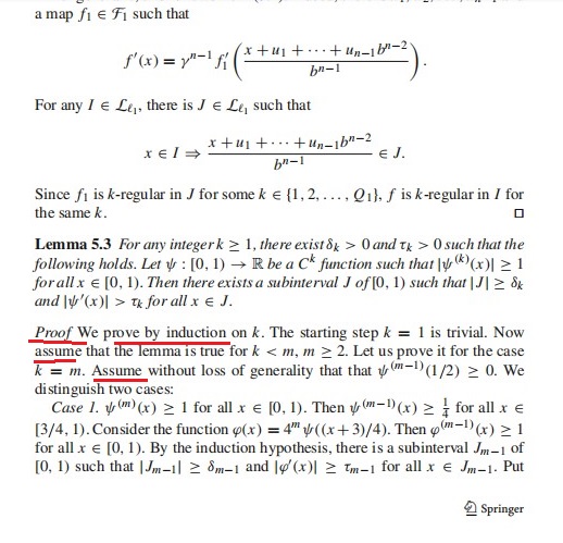
陈猛的归纳法证明和估计-多重估计

陈猛归纳法递推.jpg



发布 陈猛13.jpg
二维码

扫码加我 拉你入群

请注明:姓名-公司-职位

以便审核进群资格,未注明则拒绝

全部回复
2025-9-28 09:40:10
很好的资料。感谢楼主分享。
二维码

扫码加我 拉你入群

请注明:姓名-公司-职位

以便审核进群资格,未注明则拒绝

相关推荐
栏目导航
热门文章
推荐文章

说点什么

分享

扫码加好友,拉您进群
各岗位、行业、专业交流群