全部版块 我的主页
论坛 数据科学与人工智能 人工智能
1277 14
2025-10-15

推荐理由

本文提出了一种新的室内 RSSI 无线电地图重建算法,通过结合低秩矩阵理论,通过少量几何网格点即可补全 RSSI 网格网络,大幅减少数据采集成本,同时融合两种特征点并按定位精度加权,进一步优化了模型可靠性。

正文

假设目标定位区域为矩形区域,内部分布有m×n个用于 RSSI 采样的指纹点,则每个AP会对应一个m×n维度的信号强度采样矩阵。实际应用中,若仅采集少量 RSSI 采样点,需通过低秩矩阵填充恢复整个目标区域的二维 RSSI 矩阵。如图1所示,实心点表示已采集RSSI的采样网格点,其余未采样点需通过低秩矩阵理论填充。

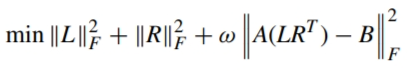
首先将目标区域的完整RSSI矩阵定义为X,所有网格点总数为N;实际采样中仅选取s个网格点(s<N)进行RSSI采集,形成的不完整矩阵(含大量未采样点)定义为观测矩阵B。为建立B与X的关联,基于仿射矩阵的秩最小化理论(对于 RSSI 无线电地图,由于“相邻位置的RSSI值具有强相关性”(空间连续性),完整的X通常是低秩矩阵(秩远小于矩阵的维度)),构建如下优化问题:

为了避免直接求解秩最小化的NP难问题,使用核范数替代秩,将原组合优化问题转化为凸松弛优化问题。

若直接对X优化,需同时调整m×n个元素,计算量极大,因此对完整矩阵X进行奇异值分解(SVD):

由于L和R可能存在多组解,通过最小化弗罗贝尼乌斯范数对其进行优化

此外,考虑到采样的 RSSI 数据可能存在误差,且定位区域的矩阵未必完全满足低秩特性,将约束模型转化为无约束模型,引入重构误差权重矩阵ω

最后通过以下交替迭代步骤求解矩阵L和R:

1)采用最小二乘法计算矩阵X的初始值X0及其可能的分解矩阵,随机选取一组X

的分解矩阵作为L和R的初始值;

2)固定L,求解R;

3)固定R,求解L;

4)重复步骤 2 和 3,直至式(8)计算的目标函数收敛。

几何空间网格点填充完成后,RSSI 空间信号特征点与新填充的几何特征点之间会存在重叠点(同一位置同时属于两类特征点)。对于每个重叠点,存在两个 RSSI 值:采样得到的 RSSI 值(实测值)与填充得到的 RSSI 值(估计值),两者的差值定义为:

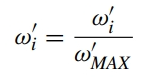
实际应用中,重叠点的 RSSI 值采用采样值(实测值更可靠),同时利用上述 RSSI 差值为非重叠填充几何特征点(仅属于几何空间网格点的填充点)分配权重,权重分配的核心逻辑是 “RSSI 差值越小,填充精度越高,对应非重叠填充点的权重越大”,以此提升模型对高可信度填充点的依赖,优化无线电地图的整体精度具体计算如下:

所有权重计算完成后,找出其中的最大值,并以该最大值为基准对权重进行归一化重新计算,确保权重范围在 0-1 之间,便于后续模型融合:

最终,通过 RSSI 空间信号特征点、几何空间网格点以及经权重分配的几何空间新填充网格点,完成 RSSI 经验模型的重构。所提算法的流程图如图 2 所示:

原文链接: https://ieeexplore.ieee.org/abstract/document/8543591

推荐学习书籍 《CDA一级教材》适合CDA一级考生备考,也适合业务及数据分析岗位的从业者提升自我。完整电子版已上线CDA网校,累计已有10万+在读~ !

免费加入阅读:https://edu.cda.cn/goods/show/3151?targetId=5147&preview=0

二维码

扫码加我 拉你入群

请注明:姓名-公司-职位

以便审核进群资格,未注明则拒绝

全部回复
2025-10-15 09:26:47
本文提出了一种新的室内 RSSI 无线电地图重建算法,通过结合低秩矩阵理论,通过少量几何网格点即可补全 RSSI 网格网络,大幅减少数据采集成本,同时融合两种特征点并按定位精度加权,进一步优化了模型可靠性。
二维码

扫码加我 拉你入群

请注明:姓名-公司-职位

以便审核进群资格,未注明则拒绝

2025-10-15 09:27:15
实际应用中,若仅采集少量 RSSI 采样点,需通过低秩矩阵填充恢复整个目标区域的二维 RSSI 矩阵。
二维码

扫码加我 拉你入群

请注明:姓名-公司-职位

以便审核进群资格,未注明则拒绝

2025-10-15 09:27:28
通过 RSSI 空间信号特征点、几何空间网格点以及经权重分配的几何空间新填充网格点,完成 RSSI 经验模型的重构
二维码

扫码加我 拉你入群

请注明:姓名-公司-职位

以便审核进群资格,未注明则拒绝

2025-10-15 09:48:42
二维码

扫码加我 拉你入群

请注明:姓名-公司-职位

以便审核进群资格,未注明则拒绝

2025-10-15 10:51:51
thanks for sharing
二维码

扫码加我 拉你入群

请注明:姓名-公司-职位

以便审核进群资格,未注明则拒绝

点击查看更多内容…
栏目导航
热门文章
推荐文章

说点什么

分享

扫码加好友,拉您进群
各岗位、行业、专业交流群