全部版块 我的主页
论坛 提问 悬赏 求职 新闻 读书 功能一区 经管文库(原现金交易版)
104 0
2025-11-30

企业避税活动指标

税收激进度/税收规避/避税程度

多年更新,质量保证,大量好评,用的放心

2019年:https://bbs.pinggu.org/thread-8653247-1-1.html
2020年:https://bbs.pinggu.org/thread-10620164-1-1.html
2021年:https://bbs.pinggu.org/thread-11071292-1-1.html
2022年:https://bbs.pinggu.org/thread-11517128-1-1.html
2023年:https://bbs.pinggu.org/thread-11817740-1-1.html

计算说明
1、名义所得税率减去实际所得税率的差额(RATE_diff)
各公司的实际所得税率并不能很好反映其避税程度。我们使用名义所得税率减去实际所得税率的差额(RATE_diff)来反映企业避税程度。该差额越高,则企业避税程度越高。
2、“名义所得税率与实际税率之差”的五年平均值(第t-4年至第t年)(LRATE_diff)
因为存在税收返还以及企业和税收征管部门的税务纠纷可能会持续好几年,所以仅仅使用当期的实际税率衡量企业避税并不恰当。为此,Dyreng et al.(2008)提出使用多期实际税率的平均值来刻画企业避税。借鉴这一思想,我们还采用了“名义所得税率与实际税率之差”的五年平均值(第t-4年至第t年)(LRATE_diff)来衡量企业的避税程度。
3、会计一税收差异(BTD)
BTD等于(税前会计利润一应纳税所得额)/期末总资产。应纳税所得额=当期所得税费用/名义所得税率=(所得税费用-递延所得税费用)/名义所得税率。BTD越大,意味着会计利润与应纳税所得额的差异越大,从而企业越有可能从事避税活动。
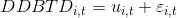
4、扣除应计利润影响之后的会计一税收差异(DDBTD)
DDBTD由模型计算得到:
215510sgzjgo8uojsopgqr.png

TACC为总应计利润,等于(净利润一经营活动产生的净现金流)/总资产。u表示公司i在样本期间内残差的平均值
ε表示t年度残差与公司平均残差u的偏离度。
2155104autph445vzgg4va.png 代表BTD中不能被应计利润解释的那一部分。

数据说明

数据对象:A股上市公司
数据区间:2000-2024年

筛选:
1、剔除金融行业
2、剔除税前利润总额小于等于0的样本
3、剔除了企业实际所得税率异常的样本(实际所得税率小于0和大于1)


参考文献
  • 参考文献:叶康涛, 刘行. 公司避税活动与内部代理成本[J]. 金融研究, 2014, 000(009):158-176.


结果截图


结果截图
QQ截图20251130194103.jpg

各年数据量
QQ截图20251130194019.jpg

缩尾后描述性统计
QQ截图20251130193951.jpg


附件下载

QQ截图20251130194121.jpg






经管之家:momingiqmiao7
欢迎关注,分享更多实用的数据,独家发布,严禁转载获利,转载必究,有任何问题在可以帖子下方回复,及时回复

批量购买可享优惠

数据列表更新:
https://pan.baidu.com/s/1stzmHYvxuFokB2o5v7i1KA?pwd=8888



帖子索引2024年帖子索引2023年】【帖子索引2022年】【帖子索引2021年】【使用常见问题点击查看更多帖子】【Stata软件下载】【Stata免费学习资料






二维码

扫码加我 拉你入群

请注明:姓名-公司-职位

以便审核进群资格,未注明则拒绝

相关推荐
栏目导航
热门文章
推荐文章

说点什么

分享

扫码加好友,拉您进群
各岗位、行业、专业交流群