全部版块 我的主页
论坛 经济学论坛 三区 行为经济学与实验经济学
218 0
2025-12-24
拉福格9.png

菲尔兹奖2002年度得主-白痴
一,什么是数学定理?拉福格不懂什么是定理:

1,数学定理必须是一个明确的判断。


2,数学定理必须是一个全称(一切,所有的,任何,每一个)判断。


3,数学定理是一个已经经过正确的演绎法证明的数学命题(不能使用归纳法和类比法证明,演绎法-三段论有256个格式,只有19个格式有效)。


4,数学定理结构(或者说命题结构)由主项与谓项组成。


5,主项与谓项必须是全异关系(不能是种属关系,例如“庞加莱猜想“就是一个错误的命题,主项与谓项是种属关系;“素数有无穷多个”就是一个正确的命题,因为主项”素数“,与谓项”无穷多个“是全异关系)。


6,主项和谓项的含义必须明确表示和界定,不能有“假设”“估计”。


先验估计作为前提,证明的命题,:


(1)没有进入因果关系;


(2)没有进入构成关系;


(3)无法被感知。


(4)估计和假设进入证据以后,如果从区分两类否定真理的角度来检视这一问题:第一类涉及虚构或者主观创造的一些对象;第二类涉及实际存在的对象。而假设的虚构的对象并不具有事务的全部属性。


(5)假设最后必须被证明才能进入证据链。


(6),假设和估计理由的虚假性胡乱修改前提条件,得出错误结论。


(7),推理的无关性胡编乱造的结论不能算定理。


(8),隐含的假设性和估计这些结论都有一个共同的缺陷,假设存在他们想要的内容,都是无关地联系他们预想的东西,例如张益唐和陈景润。


(9),论证的单一性这些论证都是违反演绎推理的基本规则,不能反推回去,正确的定理证明,百分之百可以倒推回去。


7,数学定理必须符合语法(例如陶哲轩的”存在任意长的素数算术数列“,主项与谓项都是错误的,主项”素数算术数列”是一个集合概念。谓项“任意长“违反语法:肯定判断谓项不能周延)。


8,用公式表达的定理,每一个符号必须是明确的概念和含义,不能有歧义(例如张益唐的公式)。


9,主项必须是普遍概念或者单独概念,不能是集合概念。


10,数学定理的主项必须经过正确的”种加属差“的方法定义。例如,”素数就是大于1并且只能被1和自身整除的自然数“。


11,一个定理陈述一个给定类所有的元素不变的性质和关系,适用于所有的元素,在任何时候无区别的成立。


拉福格不懂什么是定理:

定理I.7.


设存在一个层级....。


假设deg(0)和deg(∞)相对于f的支撑集具有足够大的值,且满足条件t = deg(0)u/ − deg(∞)s/(当函数f由A× · GLr(OA)支撑且t = 0时,该条件不成立)。


最后,设p:....

拉福格1.jpg




我们现在可以证明:命题B.18。定理B.13的假设表明,对于 拉福格2.jpg




二,广泛使用错误的归纳假设证明方法

数学命题证明必须符合逻辑,逻辑本质是处置我们心智中的问题和扩大我们的认知范围。


这种扩大有三种有效路径:


1,演绎推理,就是从大范畴中找到小范畴的推理;前提与结论是蕴含关系。得出的结论是必然判断。


2,归纳推理,从众多小范畴中找到大范畴的推理;


3,类比推理,在相似的范畴之间找到共性的东西和不同的东西。


我们借助从老命题引向新的命题-从已知引向未知的。


只有演绎推理形式是必然有效的,因为大范畴的存在,是小范畴存在的充分条件,所以,演绎推理是必然的因果关系推理。


而归纳和类比推理不是,逻辑上也不会用有效性与否来评价这两类推理,只会说归纳强度和类比的可接受性。所以也叫或然性推理。


数学命题证明不接受不承认不完全归纳法推理,因为一个定理有属性,归纳法不能产生属性,只有演绎法才能产生属性。


归纳只能预测,不能证明。


为什么?


我们证明一个数学命题就是一种整体上弱势溯因加归纳推理,每一个局部需要强势演绎推理。


为什么不能用归纳法证明?


因为设立命题时使用少量样本归纳出来的,再用少量样本证明,就不可靠了。少量样本归纳证明只是增加了命题的可信度,不能证明整个理论的正确,这就是归纳证实的局限性。


用举例哥德巴赫猜想:


原始信息(6=3+3,8=3+5,..。就是逐一归纳有限的样本,具有某种性质(两个素数之和),于是归纳推出“哥德巴赫猜想”推导出数量有无穷多个的样本也具有某种性质)。


再用归纳法证明,好比归纳两次,没有任何意义,归纳证明只能增加命题的可信度,不能证明整个理论有效。


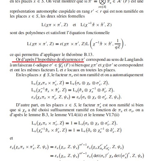
拉福格归纳假设1,2,3,.....


拉福格3归纳法推理.jpg 拉福德4归纳假设.jpg 拉福格5归纳假设.jpg 拉福格6归纳假设.jpg




华为另外一位数学家“马克西姆·孔


采维奇”也是错误使用归纳法-类比证






马克西姆·孔采维奇归纳法证明-类比1.jpg

马克西姆·孔采维奇46页论文病句太多了,证明也是断断续续,语句不通。说明受教育程度比较低。

华为还有一位数学家阿莱西姆.菲加利

错误百出的归纳假设证明





阿莱西奥·菲加利归纳.jpg 阿莱西奥归纳假设.jpg





附件列表
拉福格7归纳假设.jpg

原图尺寸 98.08 KB

拉福格7归纳假设.jpg

二维码

扫码加我 拉你入群

请注明:姓名-公司-职位

以便审核进群资格,未注明则拒绝

栏目导航
热门文章
推荐文章

说点什么

分享

扫码加好友,拉您进群
各岗位、行业、专业交流群