全部版块 我的主页
论坛 新商科论坛 四区(原工商管理论坛) 商学院 组织管理与领导力
475 1
2026-01-11

本文重点探讨两个问题。第一个问题是对经典管理学中的组织理论进行批判,引入系统论的观点探索新的组织理论。

经典管理学的组织理论是建立在还原论,机械论和原则论的科学方法论上的。所以经典管理学的组织理论有如下问题:第一,孤立地看待组织成员,组织中的部门和组织本身。同时孤立地看待他们的行为和行为的结果。虽然经典管理学的组织理论也讨论组织成员之间的影响,组织环境对组织的影响。但是这些影响只被作为外部条件看待,而没有发现这些影响本身对组织和组织行为起的决定性作用。这就好比经典管理学只是把组织当做一个化学反应来研究,以上的这些影响只不过是化学反应产生时的外部温度、气压等条件。第二,经典管理学研究的核心对象是组织成员也就是人。而对于组织结构的研究过于肤浅。因为经典管理学对于组织结构的研究其核心着眼点还是岗位和职能,其核心还是人的问题。没有发现组织结构对于组织的状态和组织的行为起决定性的作用。第三,经典管理学没有发现组织的整体性特征。既是说组织作为一个整体与其任意一个组成部分或组织成员孤立时有不同的新的行为。也就是说组织的行为不是组织成员的行为的简单的加总和堆叠。打个比方来说,一个组织的100个员工都勤奋努力,组织也不一定有好的绩效。同时,组织中的任何一个部分或组织成员他在组织中具有与其孤立时不同的行为。也就是说对于一个组织成员他在某一特定组织中所展现出来的行为预期不在这个组织中或在其他组织中是根本不同的。

本文要研究的第二个问题是我们要重新讨论管理到底是什么,以及一个有效的组织管理过程到底是什么。

这里要说明的是虽然本文是建立在对经典管理学的核心理论进行批判的基础之上的,但不表示本文认为经典管理学的所有管理技术都是错误的不适用的。对于这些技术本文不做重复的讨论。

第一章 组织是系统

第一节 组织的定义

根据系统论观点对组织重新下定义:组织Z(n)是由n个存在关联的人或人群e(1),…,e(i),…e(n)构成的整体。记作:

Z(n)={E(n),R*}

E(n)={e(i) / i=1,2,…,n; n≥2},其中R*表示部分e(1),…,e(i),…e(n)间存在的关联的集合。

也就是说组织的部分必须包含两个以上的人,这是组织和其他系统的根本性区别。

组织的内部状态,组织内每个部分的状态的集合。记作:Sin=(s1,…,si,…,snT,

       si∈Ai (i=1,2,…,n; n≥2),其中si,Ai分别表示部分e(i)的状态和状态空间。

组织的状态是指能够表征组织存在的状态。这里要特别区分组织的状态和组织的内部状态。组织的内部状态是组织各部分状态的集合。经典管理学常见的评估组织状态的指标,如离职率,员工满意度等等都是组织的内部状态。组织的状态是组织的内部状态与组织环境互动的结果。常见的组织状态包括,组织的信誉评估结果,组织在其环境中的受欢迎程度或者口碑,组织在行业中的地位等等。这就解释了有些组织有良好的组织内部状态,但不一定有良好的组织行为或者组织状态。比如员工满意度高的公司,离职率低的公司不见得有良好的业绩。

组织的行为,指的是组织的某种外部活动或表现。它实际上就是对外的输出的集合。就目前的社会状况来说,组织最主要的输出集合是产品,其次是服务,当然也包括资金和信息。

第二节 关系、关系环

组织中的关系Rij指的是在时刻t时刻组织中的一部分e(i)对组织中的另一部分e(j)的作用因子。组织中的部分e(i)通过该作用因子对部分e(j)产生作用,使得组织中的一部分e(i)和另一部分e(j)间产生一定的关联。所以f(si(t),Rij,sj(t))=0。同时我们可以知道组织中的关系是有方向性的,部分I对部分F的关系,与部分F对部分I的关系不同。关系是一种有方向的变量,它不但能表示部分对部分的作用,也表示作用量的大小。

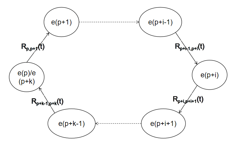
关系环的定义是:组织Z(n)在t时刻具有k个这样的关系Rp+i-1,p+i(t)(i=1,2,...,k,k≧2;e(p+k)≡e(p)),如下图,那么关系Rp+i-1,p+i(t)(i=1,2,...,k,k≧2;e(p+k)≡e(p))的集合称为关系环。记为:

Y(t)={Eo(k),Ro(t)};

Eo(k)={e(i)/i=1,2,,...,k,k≧2;e(p+k)≡e(p)}

Ro(t)={Rp+i-1,p+i(t)/fp+i-1,p+i(sp+i-1(t),Rp+i-1,p+i(t),sp+i(t))=0;i=1,2,...,k,k≧2;e(p+k)≡e(p)}

图片1.png


第三节 组织的环境和组织的结构

组织的环境E(S)指的是与组织Z(n)间存在关系的组织外部部分的集合。

组织的输入R(t)指的就是组织环境对组织的作用。通过前面关系的定义我们就知道组织输入仅指组织环境对组织的作用。也就是说我们要研究的组织环境仅仅是环境对组织有作用而组织对环境没有作用或者说组织对环境的作用不是我们的研究范围。

在环境E(S)中,组织Z(n)的结构指的是组织中在t时刻,所有关系Rij1≤i,j≥n;n≥2)的集合称为组织的结构。记为:

Rz(t)={Rij(t)/fij(si(t),Rij(t),sj(t))=0;1≤i,j≥n;n≥2}

同关系一样组织结构也是一种变量。组织是有层次的所以组织结构也是有层次的。

我们可以看出经典管理学中对组织结构的定义是片面的,它只定义了组织中的部分关系,主要是管理关系或者叫指令关系。忽视了大量的其他的重要的组织内的关系。

第四节 组织的特性

组织具有关联性、整体性和层次性。

组织的关联性指的是构成组织的部分之间存在关联使得组织中的任何一部分的状态与其他部分的状态有关,因而具有与孤立时不同的状态。

组织的整体性指的是组织作为一个整体具有其中任何一个部分孤立时不同的新的行为。同时,对于任何一个组织的部分,他在组织中具有与其孤立时不同的行为。这就告诉我们,我们不可能通过观察和测量组织中任意一个部分孤立时的行为来判断或预测他在组织中的行为。我们也不可能通过观察和测量组织中某个部分在其他组织中的行为来判断他在这个组织中的行为。我们也不可能通过观察和测量组织中每个部分孤立时的行为来判断和预测整个组织的行为。

组织的层次性指的是构成组织的任一部分同样也可以是一个组织具有整体性。所以对于组织的任一行为总是存在一个相应的组织结构层次,该组织行为是由该组织环境与这一结构层次上的组织结构决定和支配的。只有在这一组织结构层次上才能正确理解和控制该组织行为。

第二章 组织结构的一般原理与管理

第一节 组织结构的一般原理与管理

根据组织的一般结构原理,组织的状态和行为是组织环境和组织结构的函数。(林福永,一般性系统结构理论,暨南大学出版社)

Sz(t)=ψ1(S,)

Hz(t)=ψ2(S,)

θ=0

以及

Sz(t)=ψ1(S,Rz(t))

Hz(t)=ψ2(S,Rz(t))

θ≠0

Sz(t)表示组织在t时刻的状态,Hz(t)组织在t时刻的行为,S表示在t时刻的环境状态。

对于没有关系环的组织,从组织的一般结构原理我们可知,其组织状态和组织行为仅仅是组织环境的函数。

从而,控制组织状态或组织,仅需且只能通过调整组织环境而进行。如果组织环境保持不变,则组织的状态或组织的行为无法调整,也就是不具有能控性。即使强行对组织结构进行调整,只要不在支配层次产生关系环,根据这类组织的动力学特征,经过一段时间后,组织的状态或行为仍会回到初始状态。

以上原理就是经典管理学的组织行为学能够成立的理论基础。因为经典管理学的主要技术手段是调整组织的环境状态,只有在组织结构没有关系环的情况下,经典管理学的理论和技术手段才能成立。

对于有关系环的组织,从组织的一般结构原理我们可知,其组织状态和组织行为是组织环境和组织结构的函数。

当组织环境保持不变时,可以通过调整组织结构,调整组织的状态和行为。条件是该层次上的关系环,能够进行调整且关系环不会消失。当系统环境保持不变时,如果组织的关系环不能发生变化,则组织的状态和行为保持恒定不变,即使对组织结构进行调整,经过一定周期组织状态和组织的结构和组织状态和行为仍会回到原来的初始状态。

这就告诉我们对于组织结构有关系环的组织,想要调整组织的状态和行为,仅仅调整组织环境是不够的,还需要调整组织结构尤其是关系环,此种情况下经典组织管理学的理论和技术手段就不再适用,我们需要找到新的方法。

对于有关系环的组织,当环境发生变化时,可以调整组织结构使其相应发生变化,从而使组织的状态和组织的行为保持不变。当环境发生变化,组织中所有部分的状态随环境变化而变化,使得组织中的关系保持不变,则组织结构不发生变化,组织状态和组织行为只是环境的函数。

第二节 组织的支配层次

以上讨论表明如果我们想控制组织的状态或者组织的行为,可以通过调整组织的结构或者组织的环境。对于组织规模较小的,我们可以完全观测和控制组织的结构,但是对于规模较大的组织,在实际操作时很难完全掌握组织的全部关系。前面已经提到过组织是分层次的,根据一般系统结构定理对于系统的支配层次有组织状态和组织行为是系统支配层次、组织结构和组织环境的函数。

组织的支配层次指的是这一层次上的所有部分的状态仅是系统环境以及与它存在关系的部分的状态的函数。记作:

Sp(t)=φp(S(t),sp1(t),...,spi(t),...,spk(t))

Sz(t)=ψ1(S)

Hz(t)=ψ2(S)

θd =0

以及

Sz(t)=ψ1(S,Rzd(t))

Hz(t)=ψ2(S,Rzd(t))

θd≠0

Sz(t)表示组织在t时刻的状态,Hz(t)组织在t时刻的行为,S表示在t时刻的环境状态。

那么在组织中如何确定支配层次呢?本文认为组织成员的特定行为层次符合组织的支配层次。组织成员的特定行为指的是组织中的一部分e(i)对组织中的另一部分e(j)的作用中部分e(i)中的组织成员进行的人类行为。这里的关键是这个特定的行为一定要和组织的其他部分产生关系,如果组织成员在组织中的行为没有和其他组织的部分产生关系那就不是我们所说的特定行为。

组织成员的特定行为层次指的就是该组织中各部分都是组织成员的特定行为的那个层次。从组织管理的角度我们可以认为组织成员的特定行为作为组织的部分已经没有更小的结构,组织成员特定行为的状态仅仅是组织环境以及与它有关的其他组织行为的状态的函数。所以,组织成员的特定行为层次是组织的支配层次。这适用于所有组织。

组织成员的工作行为指的是组织成员行为当中与组织的外部行为直接相关的。组织成员的非工作行为指的是组织成员行为当中与组织的外部行为不直接相关的。组织成员的工作行为的确定方法,由经典管理的工作分析方法可以确定。

对于有着复杂结构的组织,或者没有条件找到组织的所有关系。我们就可以在组织的成员特定行为层次上运用组织的一般结构原理。

第三节 研究组织结构的工具-网络分析图

绘制网络分析图,在充分收集组织中关系的信息后,以组织中的部分为节点,以有方向的线段表示组织中的关系。

用网络分析图表示组织结构,需要注意的就是组织的层次性。要么用一张网络图表示一个层次的组织结构,要么在网络分析图中明确表示不同的层次。切记不可将不同层次的节点和关系放在一起研究。

第四章 管理的本质

第一节 管理的本质

从控制论的角度讲控制就是施控者影响和支配受控者的行为过程。受控对象必须有多种可能的状态或行为,有些合乎目的,有些不合乎目的,追求和保持那些合乎目的状态,避免和消除那些不合乎目的状态。施控者必须有多种可选择的手段,不同手段对受控者的效果不同。所有控制就是施控者选择合适手段作用于受控者,期望受控制达到预期状态。凡事复合这个范畴的问题实际上都是控制问题。管理就是一种控制(要注意的是这里说的控制和经典管理学中的控制职能不是一个概念)。

管理就是通过对组织施加影响,使组织的状态或外部行为达到或保持管理者的预期。

第二节 有效的控制方法-负反馈控制

由于在绝大部分情况下,我们无法对组织确立明确的状态函数,这种情况减弱了我们对组织的控制能力,所以我们只能用负反馈控制法。负反馈控制就是根据输出信息与控制目标的比较结果,调整控制手段的控制方式。因为反馈控制可以把某种有限的控制能力累积起来,每一次反馈实际上都是将上一次作为输出的可能性空间作为输入,让控制机构在这个已被缩小了的范围内进行新的选择,所以负反馈控制可以提高我们的控制能力。这就是为什么类似于石川戴明改进原则这种闭环管理技术手段被广泛证明在管理实践中的有效性。

负反馈控制过程如下:

图片2.png

负反馈控制必包含如下部分:

目标,指的是控制过程的控制目标,就是要把控制对象的状态或行为控制在某个区间内。这就是经典管理学讲目标计划职能作为首要管理职能的原因所在。

结果,就是被控对象经过调整以后的状态或行为目前所处的区间。

测评部分,这是控制者中的一部分,这部分控制着负责测量评估被控对象现在的状态或行为,并将他们现在所处的区间转化为某种信息。其目的就是要知道通过本次控制后被控对象的组织状态或组织行为处于怎样一个水平。该部分的关键点是采用何种测评方法,在考虑测评方法的时候,我们要区分是测评对象的组织状态,还是组织行为。绩效考核是组织中最常见的测评方法。

反馈,指的是测评部分将测评的结果转化出信息,并发给比较部分用于和目标进行比较。

比较,这是控制者中的一部分,这部分控制者负责将反馈信息与控制目标进行比较。并输出控制偏差。

偏差,控制目标与反馈信息比较之后的控制偏差的信息。

控制部分,这是控制者中的一部分,他负责执行对被控对象的控制作用。

控制,指的是控制部分对被控对象的控制作用。这也是管理的核心部分,经典管理学中领导,培训,控制等职能大部分都在次环节体现。

被控对象,该控制系统或控制过程要控制的组织或组织中的子组织。

二维码

扫码加我 拉你入群

请注明:姓名-公司-职位

以便审核进群资格,未注明则拒绝

全部回复
2026-1-12 15:34:55
谢谢分享~
二维码

扫码加我 拉你入群

请注明:姓名-公司-职位

以便审核进群资格,未注明则拒绝

栏目导航
热门文章
推荐文章

说点什么

分享

扫码加好友,拉您进群
各岗位、行业、专业交流群