全部版块 我的主页
论坛 提问 悬赏 求职 新闻 读书 功能一区 经管文库(原现金交易版)
50 0
2026-01-22
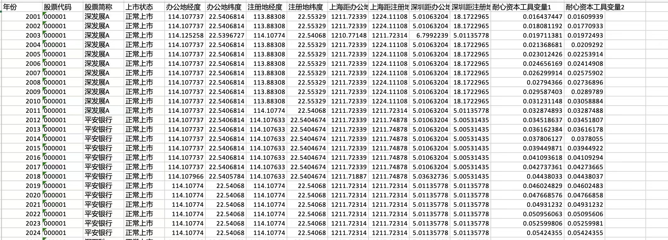
1、资料名称:2024-2001年上市公司企业耐心资本工具变量数据、耐心资本内生性数据
2、测算方式:企业的长期投资和创新活动很大程度上依赖于金融资源的获取, 地理位置邻近金融发展繁荣地区的企业, 往往能享受到更全面高效的金融服务, 耐心资本的供给也会相应增加; 另
外, 企业地理位置通常是由其所处的自然环境与地理条件决定的, 意味着早期地理位置特征难以成为决定企业发展韧性的关键要素。因此, 计算各企业至上海、 深圳两大金融发达城市平均加权距离的倒
数值, 并将其与各企业上市年限 (滞后一期) 相乘,构建耐心资本水平的工具变量[22], 重新对模型 ( 1 )进行回归。
3、资料范围:6.8万个样本,5700多家企业,包括原始数据、计算代码及最终计算结果,大家可以验证一下确保准确性!
4、参考文献
胡海峰,张烨.耐心资本赋能企业发展韧性提升:理论依据与经验事实[J].经济问题,2025,(07):47-57.DOI:10.16011/j.cnki.jjwt.2025.07.010.
e71f856e820dd5af276d4dd4a695c2c3.jpg 2235037f2c14606d35d199c91caec873.jpg b1f1c3075f565289f15097d414ee6ca2.jpg
附件列表
二维码

扫码加我 拉你入群

请注明:姓名-公司-职位

以便审核进群资格,未注明则拒绝

栏目导航
热门文章
推荐文章

说点什么

分享

扫码加好友,拉您进群
各岗位、行业、专业交流群