全部版块 我的主页
论坛 提问 悬赏 求职 新闻 读书 功能一区 经管文库(原现金交易版)
34 0
2026-02-03
一、数据概述
省级公共服务注意力,是依托文本分析技术,提取省级政府工作报告中教育、
医疗、养老、就业等公共服务领域关键词并统计词频,结合语境梳理分布特征,
量化判断省级政府在各公共服务领域的注意力投入程度、分配结构与侧重导向
的分析视角,核心是通过文本载体挖掘政府公共服务决策的关注焦点与资源
倾斜倾向。


二、核心指标及计算方法
【计算步骤】
    步骤1:收集关键词典
    步骤2:对文本数据进行分词并去除停用词和无意义词语
    步骤3:统计领域词频
【关键词体系】
(一)省级政府公共服务注意力配置关键词
一级关键词    二级关键词汇总
科技          创新、科技、科学、技术、研发、产学研、科研、高新、科教
公共安全      公共安全、社会安全、安全、依法、法律、法制、社会治安、
              武警、消法、刑事、事故、犯罪、公安
教育          教育、人才、义务教育、学生、高校、学校、知识、教师、
              大学、高中、毕业、学费、奖学金、院校、职业、入学
文体与传媒    文化、体育、传媒、文明、文物、新闻、广播、出版、影视、
              精神文明、公共文化、文化站、电视、文化馆
社保与就业    就业、创业、社会保障、生活保障、保险、民生、服务业、
              住房、养老、扶贫、职业、裁员、农民工、失业、工资、
              退休、低收入、救助、优抚对象
医疗卫生      医疗、卫生、药品、医药、医院、药物、疾病、救治
节能环保      节能、环保、环境、生态、能源、治理、减排、污染、污水、
              环境保护、绿色、节约、排放、垃圾、森林、绿化、可
              持续发展、造林、水源、排污、节约型、高耗能、治污、
              防护林、植树造林
城乡社区事务  农村、农业、城镇、设施、农民、居民、粮食、社区、城镇化、
              乡镇、水利、耕地、畜牧、电网、农业、公井、村务公开、
              饮水、惠民、灌溉、自然村、农田水利、雇委会、社区服务、
              公共事业
交通运输      交通、铁路、公路、航空、机场、运输、客运、通车


(二)省级基本公共服务的注意力测量关键词
四个方面      基本民生性服务、公共事业性服务、公益基础性服务、公共安全性服务
一级关键词    就业、社会保障、教育、医疗卫生、基础设施、生态、公共安全
二级关键词    (详见数据文件)


三、数据范围
【数据范围】全国各省级政府
【时间跨度】2000年 - 2025年
【数据来源】CNPD007_prov_省级政府年度工作报告库(2000-2025)
【数据格式】Excel格式


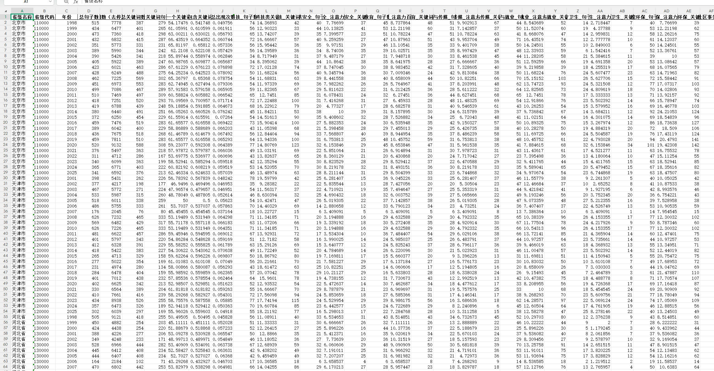
四、数据文件一:省级政府公共服务注意力配置(2000-2025)
变量说明
省级名称、省级代码、年份、总句子数、总单词数(去停用词)、总关键词数、
包含关键词句子数、编码覆盖率(包含至少一个关键词的句子数/总句子数)、
关键词密度_句子级(包含关键词的句子数/总句子数)、
关键词密度_词频级(关键词总出现次数/去停用词后的单词总数)、
科技_句子数、科技_注意力百分比(包含科技类关键词的句子数/总句子数)、
科技_关键词数、公共安全_句子数、公共安全_注意力百分比、公共安全_关键词数、
教育_句子数、教育_注意力百分比、教育_关键词数、
文化与传媒_句子数、文化与传媒_注意力百分比、文化与传媒_关键词数、
社保与就业_句子数、社保与就业_注意力百分比、社保与就业_关键词数、
医疗卫生_句子数、医疗卫生_注意力百分比、医疗卫生_关键词数、
节能环保_句子数、节能环保_注意力百分比、节能环保_关键词数、
城乡社区事务_句子数、城乡社区事务_注意力百分比、城乡社区事务_关键词数、
交通运输_句子数、交通运输_注意力百分比、交通运输_关键词数


4.jpg


五、数据文件二:省级基本公共服务的注意力测量(2000-2025)
变量说明
省级名称、省级代码、年份、总句子数、总单词数(去停用词)、总关键词数、
包含关键词句子数、编码覆盖率、关键词密度_句子级、关键词密度_词频级、
就业_句子数、就业_注意力百分比、就业_关键词数、
社会保障_句子数、社会保障_注意力百分比、社会保障_关键词数、
教育_句子数、教育_注意力百分比、教育_关键词数、
医疗卫生_句子数、医疗卫生_注意力百分比、医疗卫生_关键词数、
基础设施_句子数、基础设施_注意力百分比、基础设施_关键词数、
生态_句子数、生态_注意力百分比、生态_关键词数、
公共安全_句子数、公共安全_注意力百分比、公共安全_关键词数


3.jpg


六、数据来源
【原始数据来源】CNPD中国政府工作报告库


七、参考文献
[1]文宏,赵晓伟.政府公共服务注意力配置与公共财政资源的投入方向选择
   ——基于中部六省政府工作报告(2007~2012年)的文本分析[J].
   软科学,2015,29(06):5-9.
[2]文宏.中国政府推进基本公共服务的注意力测量
   ——基于中央政府工作报告(1954—2013)的文本分析[J].
   吉林大学社会科学学报,2014,54(02):20-26+171.


八、文件清单
省级政府公共服务注意力配置(2000-2025).xlsx  注意力配置数据
省级基本公共服务的注意力测量(2000-2025).xlsx  注意力测量数据


二维码

扫码加我 拉你入群

请注明:姓名-公司-职位

以便审核进群资格,未注明则拒绝

栏目导航
热门文章
推荐文章

说点什么

分享

扫码加好友,拉您进群
各岗位、行业、专业交流群