全部版块 我的主页
论坛 提问 悬赏 求职 新闻 读书 功能一区 经管文库(原现金交易版)
48 0
2026-02-03

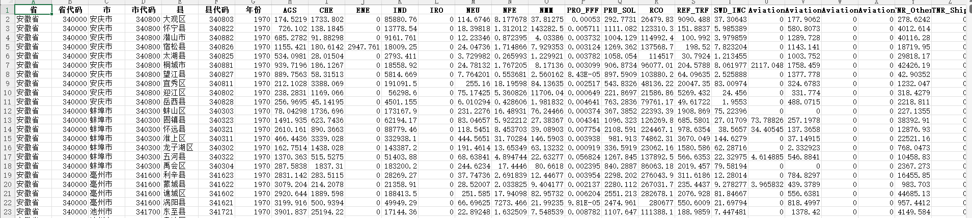
1970~2024年各县区各部门的二氧化碳总排放量数据

分享一份历年各县区各部门的二氧化碳总排放量数据。原始数据来源于 EDGAR(Emissions Database for GlobalAtmospheric Research) v2025 版本。原始数据提供的是 netcdf 格式的数据,分辨率为 0.1度x0.1度,数值单位为 吨/年。

涉及的有以下部门:

农业土壤

农业废弃物焚烧

化学过程

电力行业

肠道发酵

制造燃烧

钢铁生产

粪便管理

燃料开采煤炭

燃料开采

燃料开采天然气

燃料开采油

建筑能源

炼油厂和转型行业

垃圾焚烧

固体废物填埋场

航空攀登

QQ20260203-152227.png QQ20260203-152209.png


附件列表
二维码

扫码加我 拉你入群

请注明:姓名-公司-职位

以便审核进群资格,未注明则拒绝

栏目导航
热门文章
推荐文章

说点什么

分享

扫码加好友,拉您进群
各岗位、行业、专业交流群