全部版块 我的主页
论坛 提问 悬赏 求职 新闻 读书 功能一区 经管文库(原现金交易版)
47 2
2026-02-04
股价同步性股价信息含量

持续更新,后续关注我后免费获取更新版本
不管什么时候毕业或者发期刊用到,都能用到最新的数据

【原创整理,严禁转载,转载必究】


参考文献

[1]陈邑早,陈艳,黄诗华,等.高管薪酬契约参照效应对公司股价同步性的影响[J].管理学报,2023,20(02):287-296.
[2]许晨曦,杜勇,鹿瑶.年报语调对资本市场定价效率的影响研究[J].中国软科学,2021(09):182-192.(方法二)
[3]汤晓建,杜东英,张俊生,林斌.税收征管规范化影响了股价同步性吗?——基于税务行政处罚裁量基准的准自然实验[J].证券市场导报,2022(05):47-56.
[4]张恒瑞,洪剑峭.空间区位竞争与资本市场定价效率[J].会计研究,2022(04):22-40.
[5]伊志宏,杨圣之,陈钦源.分析师能降低股价同步性吗——基于研究报告文本分析的实证研究[J].中国工业经济,2019(01):156-173.


计算说明

包含以下三种方法计算

205710gravh8vvyacrek7v.jpg



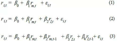
ri,t是公司i在第t周考虑现金红利再投资的周个股回报率
rm,t是公司i在第t周的考虑现金红利再投资的流通市值加权综合周市场回报率
rm,t-1是公司i在第t-1周的考虑现金红利再投资的流通市值加权综合周市场回报率
rI,t为公司i在第t周所在行业剔除其股票i后其他股票考虑现金红利再投资的流通市值加权综合周市场回报率
rI,t-1为公司i在第t-1周所在行业剔除其股票i后其他股票考虑现金红利再投资的流通市值加权综合周市场回报率

对模型(1)/(2)/(3)进行分年度回归计算得到拟合优度R2。然后,对R2进行对数化处理,如模型(4),得到SYNCH为公司i的年度股价同步性,SYNCH越大表明股价同步性越高。
205312mi421kd4e22e6kt2.jpg
R2_1、R2_2、R2_3分别对应模型(1)、模型(2)、模型(3)计算得到的拟合优度R2
SYNCH1、SYNCH2、SYNCH3分别对应模型(1)、模型(2)、模型(3)计算得到的拟合优度R2进行如模型(4)


数据说明

样本选择:全部A股1991-2024年数据 剔除当年交易周数不满30的样本

包含两个版本:一份未剔除、一份剔除金融和ST、*ST或PT

注:提供了剔除所需数据和剔除代码,若无需做该项剔除处理,自行删除相关代码重新运行即可

压缩包都附有初始数据,计算代码,参考文献和最终数据



赠送超值上市基本信息:
证券代码、统计截止日期、上市公司ID、证券简称、ABH股交叉码、行业名称、行业代码、中文全称、公司成立日期、首次上市日期、法人代表、注册资本、公司网址、经营范围、主营业务、上市状态、注册具体地址、注册地址所属省份、注册地址所属城市、注册地经度(E)、注册地纬度(N)、公司办公地址、办公地址经度、办公地址纬度、办公地址邮政编码等。


再额外赠送超值上市常用分组指标:是否 ST或PT、是否金融业、资产负债率是否大于1、是否沪深A股、
是否北京A股、行业名称、行业代码、所属省份代码、所属省份、所属城市代码、所属城市、分东部地区、中部地区、西部地区、是否高科技行业、是否重污染行业

数据截图
QQ截图20260204195909.jpg

分年份数据量统计
QQ截图20260204195900.jpg

描述性统计

    QQ截图20260204195850.jpg




附件列表
QQ截图20260204200046.jpg

原图尺寸 98.22 KB

QQ截图20260204200046.jpg

二维码

扫码加我 拉你入群

请注明:姓名-公司-职位

以便审核进群资格,未注明则拒绝

全部回复
2026-2-4 20:02:06
整理所花费时间远超成本价

二维码

扫码加我 拉你入群

请注明:姓名-公司-职位

以便审核进群资格,未注明则拒绝

2026-2-4 20:02:12
本人经济学博士毕业,如过您有具体的数据需要定制,可以私信联系,提供数据查找、整理数据以及实证分析服务!提供售后服务,所有私信和评论都会及时回复,有任何疑问可随时联系!
二维码

扫码加我 拉你入群

请注明:姓名-公司-职位

以便审核进群资格,未注明则拒绝

栏目导航
热门文章
推荐文章

说点什么

分享

扫码加好友,拉您进群
各岗位、行业、专业交流群