全部版块 我的主页
论坛 提问 悬赏 求职 新闻 读书 功能一区 经管文库(原现金交易版)
158 0
2026-02-05

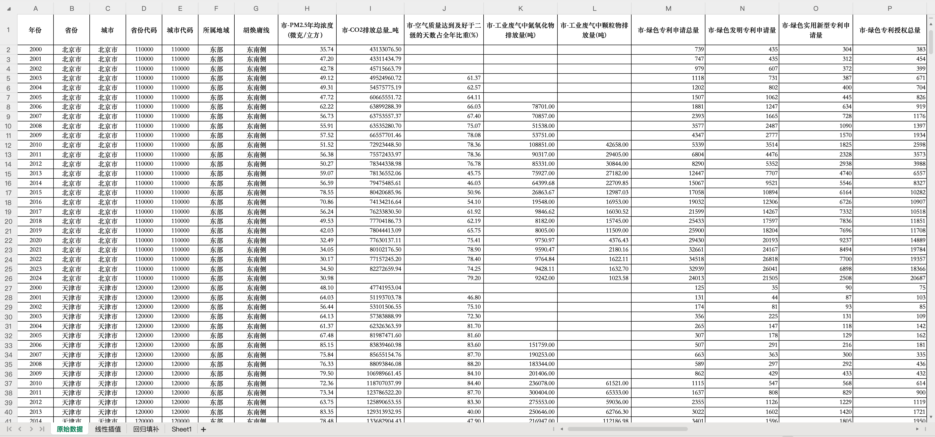
地级市环境保护数据-29个指标汇总(2000-2024年)

环境保护是人类在发展经济、改善生活的同时,通过制度、技术和管理等手段,保护和改善自然环境,防止污染和生态破坏,保障资源可持续利用的综合性活动。它既包括对空气、水、土壤、森林、湿地等自然要素的保护,也涵盖节能减排、垃圾分类、清洁生产、绿色消费等具体行动

团队根据《中国城市统计年鉴》、各地方统计年鉴、国家知识产权局等筛选并整理出共计29个环境保护、环境规制相关指标数据,包括CO2PM2.5、绿色专利、碳交易、工业三废排放等

主要用于计算城市的环境规制、污染排放水平。数据存在一定缺失。数据包含原始数据、线性插值、回归填补3个版本

一、数据介绍

数据名称:地级市-环境保护数据29个指标

数据范围:297个地级以上城市

时间范围:2000-2024

样本数量:7426

数据来源:《中国城市统计年鉴》、各地方统计年鉴、国家知识产权局、空气质量监测点、EDGAR

更多说明:包含原始数据、线性插值、回归填补3个版本

二、数据指标

年份         省份         城市

省份代码         城市代码         所属地域

胡焕庸线         PM2.5年均浓度     CO2排放总量

空气质量达到及好于二级的天数占全年比重     工业废气中氮氧化物排放量         工业废气中颗粒物排放量

绿色专利申请总量         绿色发明专利申请量     绿色实用新型专利申请量

绿色专利授权总量         绿色发明专利授权量     绿色实用新型专利授权量

低碳城市试点年份         低碳城市试点DID 碳排放权交易试点年份

碳排放权交易试点DID 工业废气中二氧化硫排放量         工业废水排放量

工业废水排放达标量     工业二氧化硫去除量     工业烟尘去除量

工业烟尘排放量     工业二氧化硫产生量     工业烟粉尘去除量

工业烟粉尘排放量         工业化学需氧量排放量         工业氨氮排放量

生活污水处理率     生活垃圾无害化处理率         工业固体废物综合利用率

一般工业固体废物综合利用率     污水处理厂集中处理率

1763688462.png
附件列表
二维码

扫码加我 拉你入群

请注明:姓名-公司-职位

以便审核进群资格,未注明则拒绝

栏目导航
热门文章
推荐文章

说点什么

分享

扫码加好友,拉您进群
各岗位、行业、专业交流群