经管之家App
让优质教育人人可得
立即打开
全部版块
我的主页
›
论坛
›
计量经济学与统计论坛 五区
›
计量经济学与统计软件
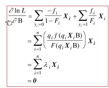
重复观测值不可以得到的情况下二元probit离散选择模型的参数估计
楼主
索隆HZQ1
2783
2
收藏
2012-10-08
中的第二部怎么得出来的,这是李子奈计量经济学第三版240页下的公式,求高手指教,谢谢.
扫码加我 拉你入群
请注明:姓名-公司-职位
以便审核进群资格,未注明则拒绝
全部回复
沙发
ermutuxia
2015-1-28 17:35:45
应该是属于合并,你可以将第二步展开就成了初始的式子了
扫码加我 拉你入群
请注明:姓名-公司-职位
以便审核进群资格,未注明则拒绝
藤椅
杨富钧
2021-2-6 13:15:50
这里带入Yi =1
扫码加我 拉你入群
请注明:姓名-公司-职位
以便审核进群资格,未注明则拒绝
相关推荐
请教离散选择模型
多元离散选择模型的样本要求
有偿求助!离散选择模型
面板多元离散选择模型
国内是否有离散选择模型的课程
probit二元离散选择模型
求离散选择模型的消费行为预测软件实现
离散选择模型在SPSS中能否有现成调用?
BLP 随机系数离散选择模型参数估计
离散选择模型可以用什么软件分析
栏目导航
计量经济学与统计软件
新手入门区
休闲灌水
博弈论
会计与财务管理
能源经济学
热门文章
AI应用新范式:从工具革命到“超级OS”的演 ...
蔡定创教授、李云庆院长致联合国秘书长古特 ...
2022年北京冬奥会英语观后感【10篇】
瓦尔拉斯方程组及其求解历史
一般均衡证明中的关键人物与全 1 解的关联探 ...
产品质量监督抽查企业基本信息扩展数据
2018届高考化学基础模块综合检测17
达富发投资关于华策影视行情数据操作分析与 ...
现货白银交易如何保护好自己的成本?
宏观经济深度报告:AI视角下的美国就业市场
推荐文章
AI狂潮席卷学术圈,不会编程也能打造专属智 ...
最快1年拿证,学费不足5W!热门美国人工智能 ...
关于如何利用文献的若干建议
关于学术研究和论文发表的一些建议
关于科研中如何学习基础知识的一些建议 (一 ...
一个自编的经济学建模小案例 --写给授课本科 ...
AI智能体赋能教学改革: 全国AI教育教学应用 ...
2025中国AIoT产业全景图谱报告-406页
关于文献求助的一些建议
几种免费下载文献的方法----我的文献应助经
说点什么
分享
微信
QQ空间
QQ
微博
扫码加好友,拉您进群
各岗位、行业、专业交流群