全部版块 我的主页
论坛 提问 悬赏 求职 新闻 读书 功能一区 经管文库(原现金交易版)
46 0
2026-03-04

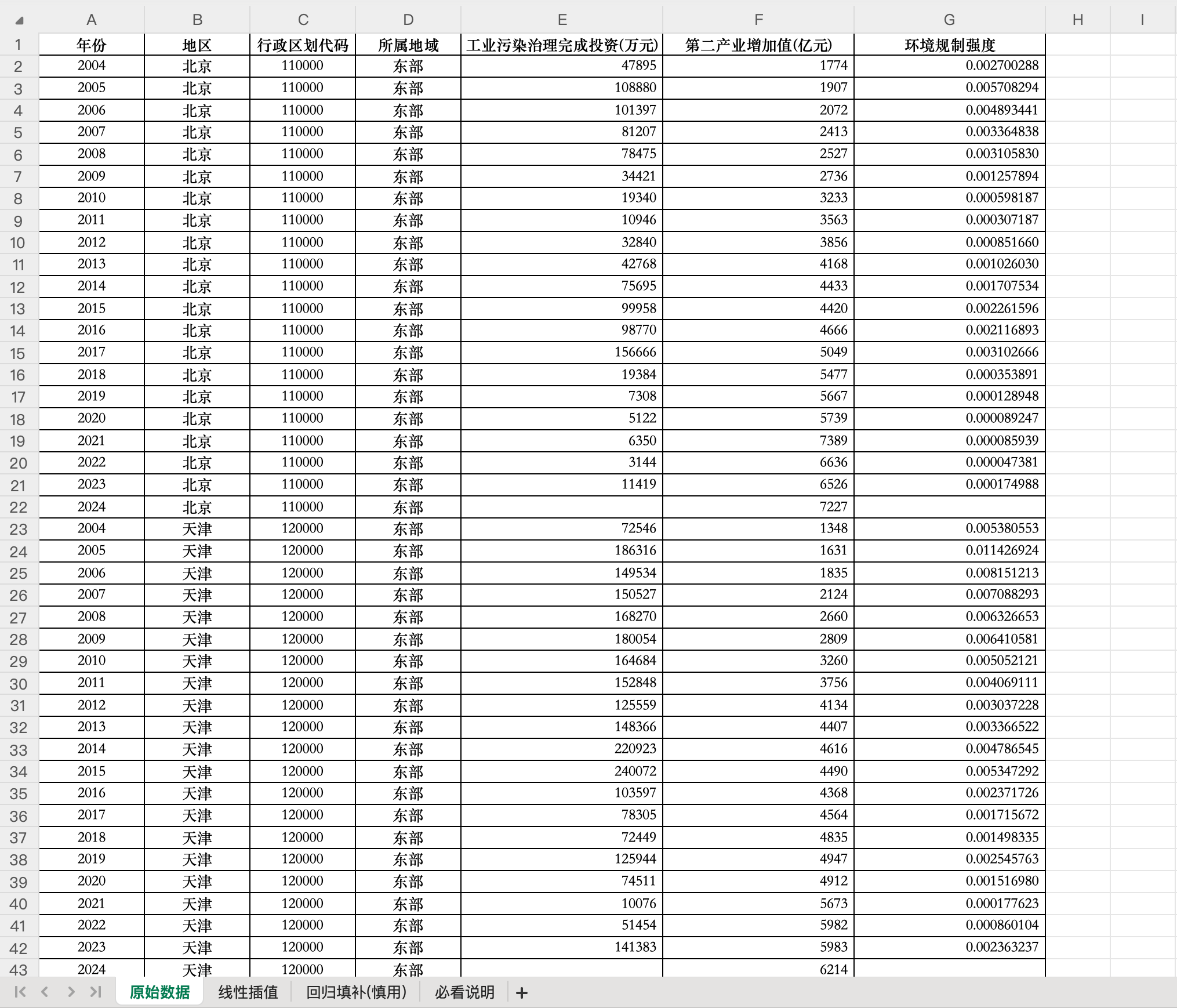
全国各省-环境规制强度(2004-2023年)

环境规制是指政府或相关机构制定的一系列法律、政策和措施,用于控制和减少人类活动对环境的负面影响,保护生态系统和自然资源。本次分享的是2004-2023年全国31个省份的利环境规制强度测算数据

参考《中国软科学》中刘荣增(2021)、《数量经济技术经济研究》中胡洁(2023)的研究方法,利用工业污染治理投资完成额占第二产业增加值的比重衡量环境规制强度

全国各省-环境规制强度(2004-2023年)

一、数据介绍

数据名称:全国各省-环境规制强度

数据范围:31个省份

时间范围:2004-2023

样本数量:652

原始来源:工业污染治理投资完成额占第二产业比重

数据来源:中国省级数据库6.0

更多说明:包括原始、线性插值、回归填补3个版本

二、数据指标

年份         

地区         

行政区划代码

所属地域         

工业污染治理完成投资         

第二产业增加值

环境规制强度                  

三、参考文献

[1]刘荣增,何春.环境规制对城镇居民收入不平等的门槛效应研究[J].中国软科学,2021(08):41-52.

[2]胡洁,于宪荣,韩一鸣.ESG评级能否促进企业绿色转型?—基于多时点双重差分法的验证[J].数量经济技术经济研究,2023,40(07):90-111.

[3]杜剑,徐筱彧,杨杨.气候风险影响权益资本成本吗?——来自中国上市公司年报文本分析的经验证据[J].金融评论,2023,15(03):19-46+125.

[4]钱丽,严润玥,肖仁桥.企业ESG表现对绿色创新质量的影响及作用机制[J].科技进步与对策,2025,42(15):108-118.

1758095416.png
附件列表
二维码

扫码加我 拉你入群

请注明:姓名-公司-职位

以便审核进群资格,未注明则拒绝

栏目导航
热门文章
推荐文章

说点什么

分享

扫码加好友,拉您进群
各岗位、行业、专业交流群