经管之家App
让优质教育人人可得
立即打开
全部版块
我的主页
›
论坛
›
提问 悬赏 求职 新闻 读书 功能一区
›
经管文库(原现金交易版)
上市公司高管技术背景数据整理Stata代码(2008-2024年 )技术高管技术董事技术监事
楼主
Whatsappp
67
1
收藏
2026-03-13
高管技术背景
变量说明
CEO政治关联
当高管具有与企业信息化管理或信息技术相关
的教育或从业经历时,我们认为其具有信息技术背景。根据教育部2012年发布的《普通高等学校本科专业目录》,信息技术教育背景是指具有电子信息类( 0807)、计算机类( 0809)、电子商务类( 1208)、信息与计算科学( 070102)、信息管理与信息系统( 120102)、信息资源管理( 120503)等专业背景;从业经历是指具有信息技术( IT)、信息管理、信息系统、信息化建设、ERP建设、软件开发、互联网/网络开发、计算机/电脑、电子工程、系统工程、系统构建、电子商务和电子政务、物联网、云计算等工作经历。
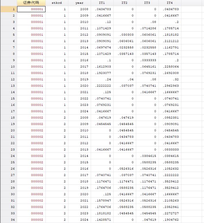
IT1:董事的信息技术背景,用上市公司拥有信息技术背景董事的比例来衡
量,等于具有信息技术背景的董事数量除以董事会总人数
IT2:高层管理人员的信息技术背景,用上市公司拥有信息技术背景
高层管理人员
的比例来衡
量,等于具有信息技术背景的高层管理人员数量除以高层管理人员总人数
IT3:监事的信息技术背景,用上市公司拥有信息技术
监事
的比例来衡
量,等于具有信息技术背景的监事人员数量除以监事总人数
IT4:董监高人员的信息技术背景,用上市公司拥有信息技术
董监高人员
的比例来衡
量,等于具有信息技术背景的董监高人员数量除以董监高人员总人数
参考文献
[1]袁蓉丽,李瑞敬,孙健.董事的信息技术背景能抑制盈余管理吗[J].南开管理评论,2021,24(03):139-151.
[2]刘锡禄,陈志军,马鹏程.信息技术背景CEO与企业数字化转型[J].中国软科学,2023(01):134-144.
各年数据量
数据描述性统计
数据截图
数据下载
最后结果包含三个版本:
1、未剔除金融未剔除ST未缩尾处理版本
2、剔除金融剔除ST未缩尾处理版本
3、剔除金融剔除ST缩尾处理版本
赠送超值上市基本信息:
证券代码、统计截止日期、上市公司ID、证券简称、ABH股交叉码、行业名称、行业代码、中文全称、公司成立日期、首次上市日期、法人代表、注册资本、公司网址、经营范围、主营业务、上市状态、注册具体地址、注册地址所属省份、注册地址所属城市、注册地经度(E)、注册地纬度(N)、公司办公地址、办公地址经度、办公地址纬度、办公地址邮政编码等。
再额外赠送超值100个2000-2024年上市公司常用控制变量:
公司规模、资产负债率、总资产净利润率、净资产收益率、资本密集度、总资产周转率、上市年限、成立年限、
市场竞争程度、资本支出、流动比率、速动比率、融资约束、有形资产占比、上一年是否亏损、权益乘数、总资产增长率、
现金流比率、董事会规模、股权集中度、股权制衡度、大股东资金占用、销售毛利率等
上市公司高管技术背景数据整理Stata代码(2008-2024年 )技术高管技术董事技术监事.zip
大小:(86.32 MB)
只需: RMB 49元
马上下载
扫码加我 拉你入群
请注明:姓名-公司-职位
以便审核进群资格,未注明则拒绝
全部回复
沙发
Whatsappp
2026-3-13 20:51:23
持续更新,有任何问题请在评论区发言或者私信给我,谢谢支持!
扫码加我 拉你入群
请注明:姓名-公司-职位
以便审核进群资格,未注明则拒绝
栏目导航
经管文库
stata专版
行业分析报告
文献求助专区
数据交流中心
计量统计软件
热门文章
方法为桥,专业为径:CDA数据分析师玩转六种 ...
论新宏观丨Deep Seek,《宏观经济物理学》对 ...
北大地震老师讲股票第二讲ppt课件
2025中国马拉松赛事蓝皮书
【顶刊前沿】2010-2024年上市公司企业敏捷响 ...
【推荐】2026年官方全新世界银行WDI全指标面 ...
别再手工做科研了!手把手教你养「学术龙虾 ...
当 DID 遇上 AI 智能体:你的实证研究,正在 ...
CDA 认证考试大纲 2025 重磅更新:一二级考 ...
关于具身智能「触觉」,你想知道的都在这篇 ...
推荐文章
关于学术研究和论文发表的一些建议
几种免费下载文献的方法----我的文献应助经
五一充电,学术突围!三大AI赋能王牌课程, ...
【必看】【本版版规,欢迎发悬赏贴求助】
【新课】26年3月|Gemini辅助论文写作与数据 ...
关于如何利用文献的若干建议
关于科研中如何学习基础知识的一些建议 (一 ...
一个自编的经济学建模小案例 --写给授课本科 ...
AI智能体赋能教学改革: 全国AI教育教学应用 ...
2025中国AIoT产业全景图谱报告-406页
说点什么
分享
微信
QQ空间
QQ
微博
扫码加好友,拉您进群
各岗位、行业、专业交流群