全部版块 我的主页
论坛 提问 悬赏 求职 新闻 读书 功能一区 经管文库(原现金交易版)
174 2
2026-03-30

优化的股票特质收益率

上市公司特质波动率momingqimiao7

多年更新,质量保证,大量好评
2021年:https://bbs.pinggu.org/thread-10897945-1-1.html
2022年:https://bbs.pinggu.org/thread-11384312-1-1.html
2023年:https://bbs.pinggu.org/thread-11788663-1-1.html
2024年:https://bbs.pinggu.org/thread-14950075-1-1.html




1、计算说明



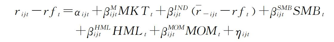
        构建方法参考Leary 和Roberts(2014)的研究,并在其基础上加入了规模、账面市值比和动量三个因子,以优化工具变量的外生性。工具变量的具体构建步骤如下:
首先,使用如下回归模型构建工具变量:

143745j7kjuu8u8u148ki9.png


        其中,MKT、SMB、HML和MOM分别表示Carhart四因素模型中的市场、规模、账面市值比和动量四个因子。

        在每年的年初,使用前36个月的数据对上面公司进行回归。在年度内的每个月,使用相同的回归系数,计算每只股票每个月超额收益率的期望值和股票特质收益率

143745pe3bp9rxppbr23ep.jpg



2、变量说明


  • 143834yubcebzm3b3zbcmm.gif 表示 行业的公司在月的股票收益率,使用考虑现金红利再投资的月个股回报率
  • 143834mpn6b5qubfrmbqpu.gif 表示 公司的同行业其他公司在月的平均股票收益率
  • 143833nb67176fme06bdqu.gif 表示无风险收益率,使用一年期定期存款利率
  • MKT=考虑现金红利再投资的综合月市场回报率(流通市值加权平均法)减去无风险收益率
  • SMB 表示市值因子(流通市值加权)
  • HML 表示账面市值比因子(流通市值加权)
  • MOM 表示动量因子(流通市值加权)(经管之家momingqimiao7 )
  • 计算出每只股票每个月的特质收益率后,将每个月的收益率复合,得到该股票该年度的特质收益率
  • 在每年的年初,使用前36个月的数据进行回归 bbs.pinggu.org/thread-10274433-1-1.html


3、变量说明


张晓宇, 王策, 钱乐乐. 股票价格的"涟漪效应"研究——基于公司投资决策的视角[J]. 财经研究, 2017(12).

4、数据说明


  • 数据对象:A股上市公司
  • 数据区间:2000-2025年
  • 数据格式:dta格式(Stata14及以上版本)
  • 计算结果包括:xlsx和dta格式  年度的股票特质收益率
  • 代码格式:do文件(Stata14及以上版本),用低版本出现乱码,有注释,包含数据处理过程
  • 行业以2012年的证监会行业标准,制造业使用二级分类,其他行业使用大类
  • 提供剔除金融和ST类股票的代码
  • 最后提供两份结果(未剔除金融保险业和ST、*ST或PT股票的结果、剔除金融保险业和ST、*ST或PT类股票的结果)

结果截图
QQ截图20260330223821.jpg


结果各年数据量
QQ截图20260330223727.jpg

描述性统计
QQ截图20260330223759.jpg


5、附件下载


用到命令:rangestat

QQ截图20260330223842.jpg
优化的股票特质收益率Stata代码(附2000-2025年数据和结果) 加入Carhart四因子.zip
大小:(44.26 MB)

只需: RMB 58元  马上下载

本附件包括:

  • 代码[经管momingqimiao7].do
  • 公司基础信息.dta
  • 四因子月数据.dta
  • 年度特质收益率-剔除ST和金融行业.dta
  • 年度特质收益率-剔除ST和金融行业.xlsx
  • 年度特质收益率.dta
  • 年度特质收益率.xlsx
  • 文献:股票价格的涟漪效应研究_基于公司投资决策的视角_张晓宇.pdf
  • 无风险利率.dta
  • 月个股回报率.dta
  • 月四因子数据.dta
  • 综合月市场回报率.dta








经管之家:momingiqmiao7
欢迎关注,分享更多实用的数据,独家发布,严禁转载获利,转载必究,有任何问题在可以帖子下方回复,及时回复

批量购买可享优惠

数据列表更新:
https://pan.baidu.com/s/1stzmHYvxuFokB2o5v7i1KA?pwd=8888



帖子索引2024年帖子索引2023年】【帖子索引2022年】【帖子索引2021年】【使用常见问题点击查看更多帖子】【Stata软件下载】【Stata免费学习资料




二维码

扫码加我 拉你入群

请注明:姓名-公司-职位

以便审核进群资格,未注明则拒绝

全部回复
2026-4-4 21:15:44
评分:10分
评价:非常好的数据,代码写的比较专业详细
二维码

扫码加我 拉你入群

请注明:姓名-公司-职位

以便审核进群资格,未注明则拒绝

2026-4-13 13:46:35
优化的股票特质收益率Stata代码(附2000-2025年数据和结果) 加入Carhart四因子
https://bbs.pinggu.org/thread-16570578-1-1.html
二维码

扫码加我 拉你入群

请注明:姓名-公司-职位

以便审核进群资格,未注明则拒绝

栏目导航
热门文章
推荐文章

说点什么

分享

扫码加好友,拉您进群
各岗位、行业、专业交流群