全部版块 我的主页
论坛 提问 悬赏 求职 新闻 读书 功能一区 经管文库(原现金交易版)
53 0
2026-04-10
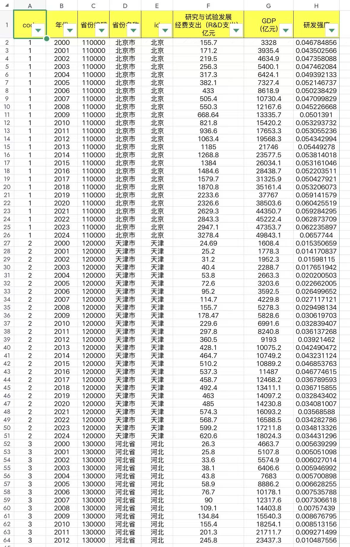
2024-2000年各省研发投入强度/研发投入/
R&D内部经费支出(研发支出占GDP比重)

【计算方法】
研究与试验发展(R&D)经费支出/GDP

时间范围:2000-2024年
统计口径:31个省
数据来源:国家统计局、统计年鉴

【指标内容】
研究与试验发展(R&D)支出
地区生产总值
R&D经费投入强度(研发强度)

附件列表
b2ee08ac352963544dea7404d6b164ca.jpg

原图尺寸 519.31 KB

b2ee08ac352963544dea7404d6b164ca.jpg

二维码

扫码加我 拉你入群

请注明:姓名-公司-职位

以便审核进群资格,未注明则拒绝

栏目导航
热门文章
推荐文章

说点什么

分享

扫码加好友,拉您进群
各岗位、行业、专业交流群