经管之家App
让优质教育人人可得
立即打开
全部版块
我的主页
›
论坛
›
数据科学与人工智能
›
数据分析与数据科学
›
数据分析与数据挖掘
遗传算法的实现问题
楼主
asddsacc
1405
2
收藏
2012-11-02
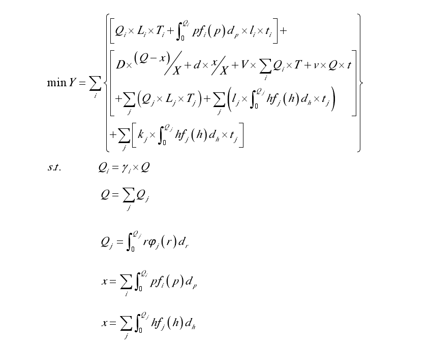
就是许多的文献在求库存问题的时候,最后列出一个具体的求最优解的数学模型,然后给定一些具体的数值,,最后利用遗传算法求出最优解。但是大多没有给出具体的代码和程序,小弟实在看不懂,忘高人指点啊。。。
扫码加我 拉你入群
请注明:姓名-公司-职位
以便审核进群资格,未注明则拒绝
全部回复
沙发
asddsacc
2012-11-2 13:44:35
求救啊、、、
扫码加我 拉你入群
请注明:姓名-公司-职位
以便审核进群资格,未注明则拒绝
藤椅
asddsacc
2012-11-11 14:45:24
救命啊啊、、、、亲们
扫码加我 拉你入群
请注明:姓名-公司-职位
以便审核进群资格,未注明则拒绝
相关推荐
[下载]基本遗传算法
遗传算法学习资料(另免费数学模型基础)!!
麻烦高人指点一下论文思路
金融 经济
遗传优化
求非线性经济最优解方法——遗传算法及改进
基于神经网络与遗传算法的刀具磨损检测与控制
用改进的遗传算法训练神经网络构造分类器
基于神经网络和遗传算法的智能PID控制
交互式遗传算法中用户评估方法研究
栏目导航
数据分析与数据挖掘
商学院
微观经济学
马克思主义经济学
真实世界经济学(含财经时事)
EViews专版
热门文章
CDA数据分析脱产就业班于2026年3月7日开班! ...
新宏观丨中美经济总量差距拉大的根源
艾瑞咨询 - 2025年中国早教行业白皮书
第一太平戴维斯 - 2026年中国房地产市场展望 ...
2025中国居民退休准备指数调研报告-清华大学 ...
Measure Theory for Analysis and Probabil ...
现代数学基础19 偏微分方程 孔德兴
科研时间70%耗在“下载-复制-粘贴”?零代码 ...
精准匹配,菁英相伴--经管之家单身俱乐部, ...
CDA数据分析师:商业数据分析实践的核心执行 ...
推荐文章
2026JG学术冬训营:从Stata初高到Python机器 ...
【必看】【本版版规,欢迎发悬赏贴求助】
26年寒假天津站|Gemini论文写作&数据分析 ...
关于如何利用文献的若干建议
关于学术研究和论文发表的一些建议
关于科研中如何学习基础知识的一些建议 (一 ...
一个自编的经济学建模小案例 --写给授课本科 ...
AI智能体赋能教学改革: 全国AI教育教学应用 ...
2025中国AIoT产业全景图谱报告-406页
关于文献求助的一些建议
说点什么
分享
微信
QQ空间
QQ
微博
扫码加好友,拉您进群
各岗位、行业、专业交流群