全部版块 我的主页
论坛 数据科学与人工智能 数据分析与数据科学 MATLAB等数学软件专版
1293 1
2012-12-07
刚开始学matlab,存在许多疑问,请教大神。
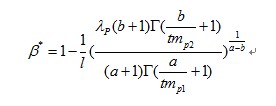
见下图,图中是我要模拟的结果,我主要是想看贝塔与a,b的关系,0<a<1,0<b<1,就是当a等于某个值时,b在0到1内变化,然后贝塔的值随之变化。图中其它的参数我都赋予了固定的值。下面是我写的代码:
L=1;p=1.2;t=1.2;m=0.8;n=1.2;
a=0:1;b=linspace(0,1);
[y,z]=meshgrid(a,b);
x=1-1/L*((p*(z+1)*gamma(z/(t*n)+1))/((y+1)*gamma(y/(t*m)+1)))^(1/(y-z));

画图的代码还同输入,运行结果就出现:
??? Error using ==> mtimes
Inner matrix dimensions must agree.
刚开始学,我找不出具体的原因,各位能否指点一下,万分感谢!
附件列表
结果.jpg

原图尺寸 6.8 KB

结果.jpg

二维码

扫码加我 拉你入群

请注明:姓名-公司-职位

以便审核进群资格,未注明则拒绝

全部回复
2012-12-7 22:57:31
我也没有看出来。
二维码

扫码加我 拉你入群

请注明:姓名-公司-职位

以便审核进群资格,未注明则拒绝

相关推荐
栏目导航
热门文章
推荐文章

说点什么

分享

扫码加好友,拉您进群
各岗位、行业、专业交流群