经管之家App
让优质教育人人可得
立即打开
全部版块
我的主页
›
论坛
›
经济学论坛 三区
›
宏观经济学
菜鸟求问一个一阶条件啊。。。
楼主
湖北wawayu
1494
1
收藏
2013-01-16
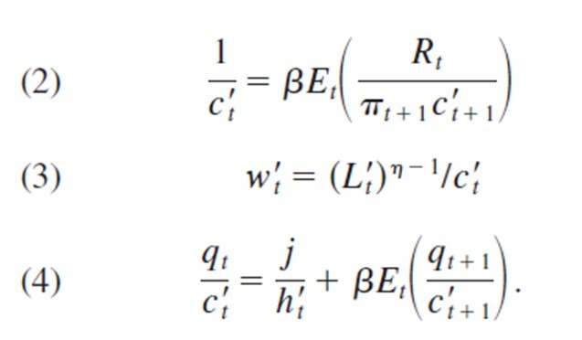
c为消费,h为房屋需求,L为劳动供给,最后一个M/P为实际货币余额,1是约束条件,后面分别是对c,L,h求导得出来的一阶条件,,求解啊,只知道大致方向是用拉格朗日,但具体E是怎么带进去的啊?
扫码加我 拉你入群
请注明:姓名-公司-职位
以便审核进群资格,未注明则拒绝
全部回复
沙发
永远的鸭霸王
2013-7-9 19:46:31
同问
扫码加我 拉你入群
请注明:姓名-公司-职位
以便审核进群资格,未注明则拒绝
栏目导航
宏观经济学
调查问卷专版
经管文库(原现金交易版)
商务谈判
藏经阁
金融工程(数量金融)与金融衍生品
热门文章
CDA考试模拟题库:新增章节练习题(更新于1 ...
文本分析:从经管顶刊“加分项”到学术发表 ...
CDA 认证考试大纲 2025 重磅更新:一二级考 ...
CAIE人工智能工程师认证
哈耶克作品集 6本 含通往奴役之路、自由宪章 ...
博观研究院2025年中国跨境进口保健品市场分 ...
南大CSSCI(2025-2026)来源期刊目录及扩展版
货币--是如何产生成长发展的和人类的四大工 ...
【详细整理,24重磅!】1990-2024上市公司市场 ...
量子科技行业深度报告-量子革命:量子科技的 ...
推荐文章
AI狂潮席卷学术圈,不会编程也能打造专属智 ...
10月重磅来袭|《打造Coze/Dify专属学术智能 ...
最快1年拿证,学费不足5W!热门美国人工智能 ...
关于如何利用文献的若干建议
关于学术研究和论文发表的一些建议
关于科研中如何学习基础知识的一些建议 (一 ...
一个自编的经济学建模小案例 --写给授课本科 ...
AI智能体赋能教学改革: 全国AI教育教学应用 ...
2025中国AIoT产业全景图谱报告-406页
关于文献求助的一些建议
说点什么
分享
微信
QQ空间
QQ
微博
扫码加好友,拉您进群
各岗位、行业、专业交流群