经管之家App
让优质教育人人可得
立即打开
全部版块
我的主页
›
论坛
›
数据科学与人工智能
›
数据分析与数据科学
›
MATLAB等数学软件专版
求lingo程序,忘各位大神不吝赐教
楼主
zhengraul
1385
1
收藏
2013-04-09
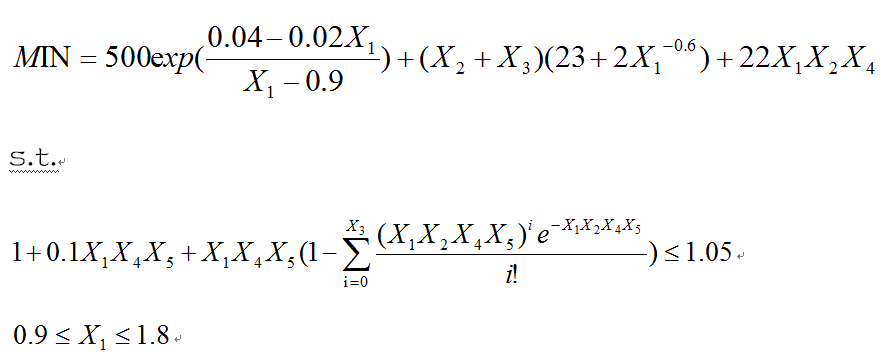
模型如图,五个决策变量,约束条件比较复杂。求教各位高手lingo程序,望不吝赐教,谢谢!
扫码加我 拉你入群
请注明:姓名-公司-职位
以便审核进群资格,未注明则拒绝
全部回复
沙发
ff1235
2013-4-9 15:47:13
确实小 复杂。 lingo么? 论坛里随便一搜就是了,干嘛还来发帖?
扫码加我 拉你入群
请注明:姓名-公司-职位
以便审核进群资格,未注明则拒绝
相关推荐
[下载]运筹学教材与LINGO软件解析
★★★★运筹学软件LINGO最新第10版1元下载
破解版lingo9.0分享(上传不成功,暂时关闭)
求助高人,我的lingo语句哪里有问题?(问题已解决)
用lingo解决一组数据的线性优化问题及答案
[下载]Lingo11破解版——免费的!
请高手帮助:lingo程序语句为什么会出现多个分号?
请哪位大侠帮我看看这个方程如何用Lingo实现,多谢多谢。
求懂区间组合预测的大神教下小弟使用lingo软件!!
求助 一个简单的多元一次求和方程怎么编写LINGO
栏目导航
MATLAB等数学软件专版
经管文库(原现金交易版)
金融类
宏观经济学
发展经济学
产业经济学
热门文章
CAIE LEVEL Ⅰ考试更新说明(2026年4月)
CDA 认证考试大纲 2025 重磅更新:一二级考 ...
Hermes-Agent-从入门到精通-v260407
我国金融机构的系统风险重要性研究——基于 ...
上海黄金是人民币汇率风险的对冲工具和安全 ...
OpenClaw+Claude Code丨从"手动科研"到 ...
从数据源头到商业洞察:CDA数据分析师视角下 ...
从“数字”到“数据”:CDA数据分析师视角下 ...
2026年3月宏观经济数据分析
Token经济学全景报告
推荐文章
五一充电,学术突围!四大AI赋能王牌课程, ...
关于学术研究和论文发表的一些建议
几种免费下载文献的方法----我的文献应助经
【必看】【本版版规,欢迎发悬赏贴求助】
【新课】26年3月|Gemini辅助论文写作与数据 ...
关于如何利用文献的若干建议
关于科研中如何学习基础知识的一些建议 (一 ...
一个自编的经济学建模小案例 --写给授课本科 ...
AI智能体赋能教学改革: 全国AI教育教学应用 ...
2025中国AIoT产业全景图谱报告-406页
说点什么
分享
微信
QQ空间
QQ
微博
扫码加好友,拉您进群
各岗位、行业、专业交流群