经管之家App
让优质教育人人可得
立即打开
全部版块
我的主页
›
论坛
›
计量经济学与统计论坛 五区
›
计量经济学与统计软件
›
LISREL、AMOS等结构方程模型分析软件
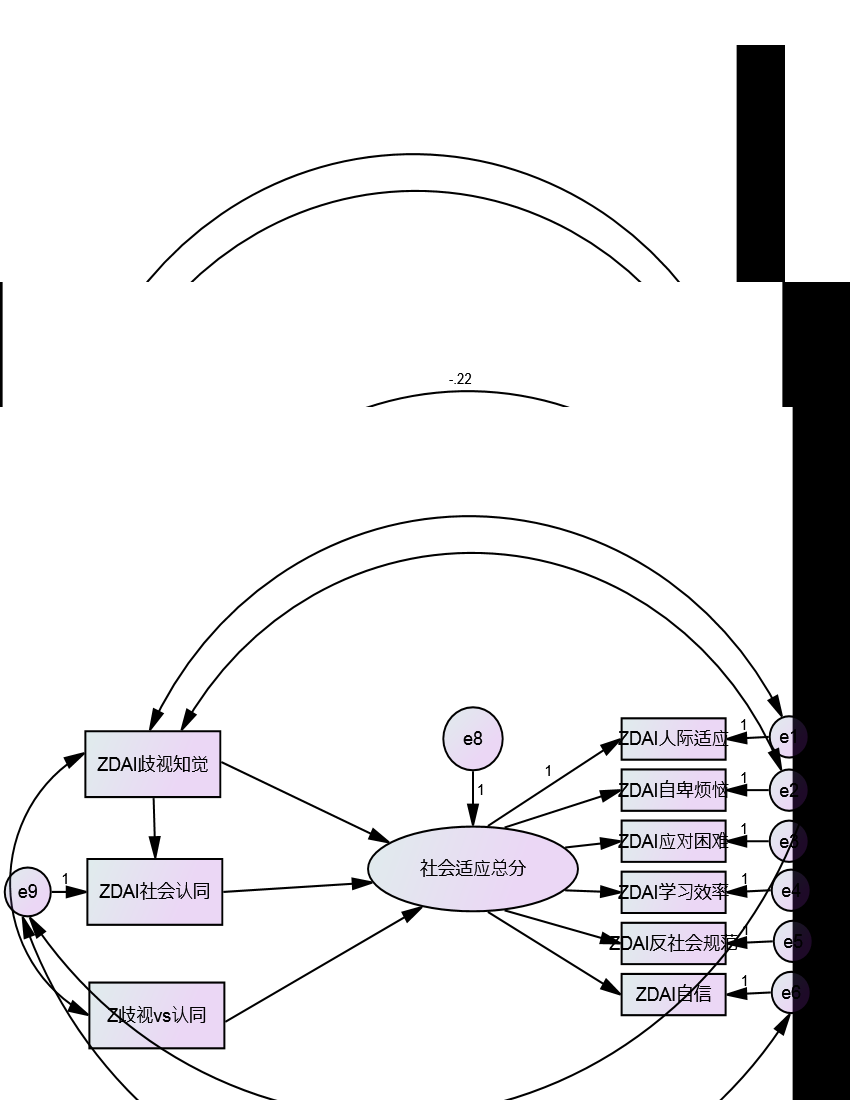
AOMS中调节效应的图是否这样画,求高手鉴定
楼主
点儿心
3182
2
收藏
2013-04-28
看了温忠麟的文献,确定可以用amos做调节效应,但是他对潜变量调节效应的模型构建有很详细的叙述,对于显变量的调节,我没有找到有文献说该怎么建,而且我做出来的这个模型中误差项有相关,不知道这样可以不,请懂的好心人鉴定下,谢谢~
附件列表
调节效应.png
原图尺寸 101.05 KB
扫码加我 拉你入群
请注明:姓名-公司-职位
以便审核进群资格,未注明则拒绝
全部回复
沙发
jiaxuji2004
2013-4-28 20:23:29
感觉好乱啊
这图的意思是,社会认同做中介变量,也做调节变量吧?
扫码加我 拉你入群
请注明:姓名-公司-职位
以便审核进群资格,未注明则拒绝
藤椅
mark8865
2014-4-7 12:02:36
感觉这个图是可以的。
扫码加我 拉你入群
请注明:姓名-公司-职位
以便审核进群资格,未注明则拒绝
相关推荐
[求助]有关AOMS模型欠识别的问题
AOMS的图怎么弄到word上呢
潜变量调节效应AMOS 交互项的测量模型不显著 正常吗?
怎么改变aoms背景色
amos做类别变量调节效应遇到问题
aoms计算中因素负荷量竟然出现负值 这是什么原因
区别效度检验是如何通过aoms做出来的
aoms输出结果合格了吗?
aoms迭代限制
AOMS21自定义中介路径的语法问题
栏目导航
LISREL、AMOS等结构方程模型分析软件
经管高考
经管文库(原现金交易版)
商学院
投行专版
金融工程(数量金融)与金融衍生品
热门文章
瓦尔拉斯方程组及其求解历史
一般均衡证明中的关键人物与全 1 解的关联探 ...
粤港澳大湾区智能制造产业司法观察2025
人体简史 The Body A Guide for Occupants ...
2024年债券市场分析研究报告
蔡定创经济学 《信用价值论续—集聚生产与资 ...
Handbook of Multilevel Analysis
A Course in Formal Languages, Automata a ...
2025 中国不良资产行业发展研究
2025年中国医院研究影响力-全球卫生政策和临 ...
推荐文章
AI狂潮席卷学术圈,不会编程也能打造专属智 ...
最快1年拿证,学费不足5W!热门美国人工智能 ...
关于如何利用文献的若干建议
关于学术研究和论文发表的一些建议
关于科研中如何学习基础知识的一些建议 (一 ...
一个自编的经济学建模小案例 --写给授课本科 ...
AI智能体赋能教学改革: 全国AI教育教学应用 ...
2025中国AIoT产业全景图谱报告-406页
关于文献求助的一些建议
几种免费下载文献的方法----我的文献应助经
说点什么
分享
微信
QQ空间
QQ
微博
扫码加好友,拉您进群
各岗位、行业、专业交流群