经管之家App
让优质教育人人可得
立即打开
全部版块
我的主页
›
论坛
›
金融投资论坛 六区
›
保险精算与风险管理
›
CAA、SOA精算师等考证版
求助:寿险精算教材的一道公式
楼主
economics666
998
2
收藏
2013-05-22
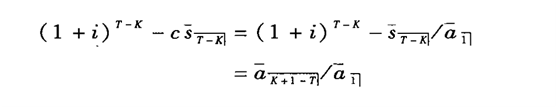
求助:上部分内容中的第二个等式是如何从第一个等式推得的呢?多谢!
附件的内容就贴错了,可以不看。
附件列表
公式.png
原图尺寸 8.27 KB
公式.png
原图尺寸 8.27 KB
公式2.png
原图尺寸 123.62 KB
扫码加我 拉你入群
请注明:姓名-公司-职位
以便审核进群资格,未注明则拒绝
全部回复
沙发
annabellacn
2013-5-23 09:36:06
你公式里面的c是什么?
扫码加我 拉你入群
请注明:姓名-公司-职位
以便审核进群资格,未注明则拒绝
藤椅
economics666
2013-5-23 10:53:45
已经将内容进行了更新。 见帖子中C的公式。
扫码加我 拉你入群
请注明:姓名-公司-职位
以便审核进群资格,未注明则拒绝
相关推荐
原创(寿险精算数學(卢仿先))
[下载]线性规划在寿险精算中的应用
急求。。。
求 中经寿险精算的电子版
寿险精算产品定价
人大寿险精算课件
求助:杨静平编《寿险精算基础》第5章课后习题20题
慕再将中国寿险精算实习大赛拓展至东南亚
关于A5寿险精算
跪求南开大学寿险精算李勇权版答案orz
栏目导航
CAA、SOA精算师等考证版
stata专版
行业分析报告
经管文库
文献求助专区
数据交流中心
热门文章
中国金融生成式AI多模态内容鉴伪与安全防御 ...
全球能源转型展望2025—全球和区域预测至20 ...
海外资管机构赴上海投资指南(2025版)
understanding climate change perceptions ...
【全美经典】离散数学
全球能源转型展望2025—全球和区域预测至20 ...
世界机器人2025年报告 World Robotics 2025
甲子光年_2025甲子Cool Vendor人形机器人大 ...
AOM:The Boundaries of Trust in a New Era
气象学-山东大学
推荐文章
AI狂潮席卷学术圈,不会编程也能打造专属智 ...
10月重磅来袭|《打造Coze/Dify专属学术智能 ...
最快1年拿证,学费不足5W!热门美国人工智能 ...
关于如何利用文献的若干建议
关于学术研究和论文发表的一些建议
关于科研中如何学习基础知识的一些建议 (一 ...
一个自编的经济学建模小案例 --写给授课本科 ...
AI智能体赋能教学改革: 全国AI教育教学应用 ...
2025中国AIoT产业全景图谱报告-406页
关于文献求助的一些建议
说点什么
分享
微信
QQ空间
QQ
微博
扫码加好友,拉您进群
各岗位、行业、专业交流群