蓝色 发表于 2013-6-2 22:48 
虽然我不懂,但我觉得
1、你最好把公式的出处都贴出来,全面看一个问题可能会更容易理解,知道你到底需要做 ...
哦,谢谢你的回复,好歹是有人看了我的问题。
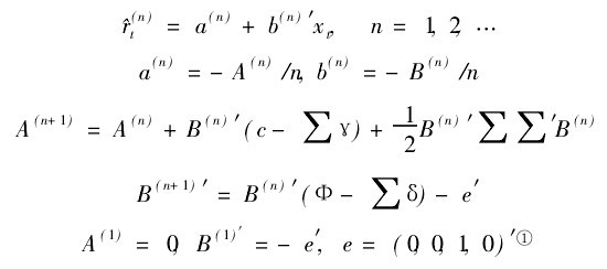
1,我不太理解第一条,这个公式是一个模型中几个公式推导出来的。你是指应该把公式的推导过程也贴出来么?
2,这个问题应该是解决的了的,因为文献里用同样的公式计算参数,我想应该是可以处理的。
3,额,英文文献里根本就没有提及过软件的问题,只给出结果。中文文献里只说用过gauss6.0软件,也没有具体的计算过程,直接给结果。我查过资料,guass的功能stata是可以实现的,而且我之前也用过stata,另一个软件我没接触过,所以想用stata来算。