woodyluo 发表于 2013-7-14 23:13 
我这两个变量,一个是0,,1变量,另一个取值范围在0~1之间。。。。和这个有关系吗?
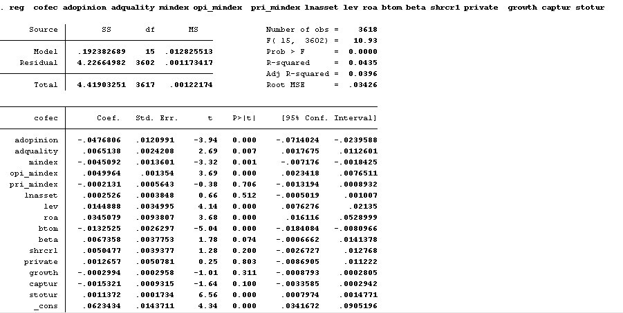
1,“关键的解释变量和控制变量的P值都只是1位小数”
p值还行,如果p值小于0.05,就5%置信水平显著;如果p值小于0.10,就10%置信水平显著。
2,“hausman让我用固定效应”
那就是固定效应了
3,“但是我的固定效应更差所有的R-square都小于0.4”
这很正常,对于你这样的大样本数据
4,“而且我的散点图很诡异”
你都说了是一个变量为0、1,另一个变量0~1之间,请问这种散点图有意义吗?