全部版块 我的主页
论坛 数据科学与人工智能 数据分析与数据科学 R语言论坛
1086 2
2013-07-22
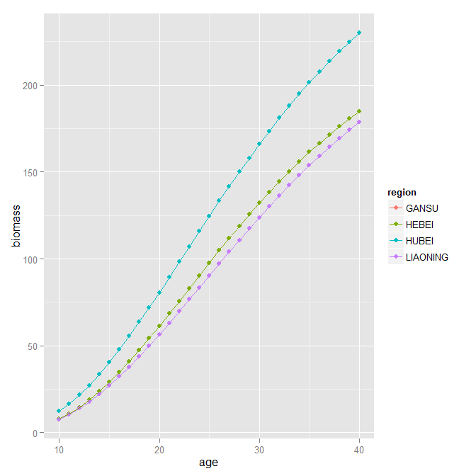
我使用一下code:

library(ggplot2)
rd<-read.csv("12.csv")
head(rd)
qplot(age,biomass,data=rd,geom=c("point","line"),color=region)

图形如下:
1.png


图中少了一条GANSU的线,这是i怎么回事(数据在附加中)求解答?

附件列表

123.txt

大小:2.23 KB

 马上下载

data

二维码

扫码加我 拉你入群

请注明:姓名-公司-职位

以便审核进群资格,未注明则拒绝

全部回复
2013-7-22 21:49:40
数据有问题,甘肃和河北两组的数据是一样的,所以图重合到一块
二维码

扫码加我 拉你入群

请注明:姓名-公司-职位

以便审核进群资格,未注明则拒绝

2013-7-23 08:39:35
250603730 发表于 2013-7-22 21:49
数据有问题,甘肃和河北两组的数据是一样的,所以图重合到一块
谢谢,已解决
二维码

扫码加我 拉你入群

请注明:姓名-公司-职位

以便审核进群资格,未注明则拒绝

相关推荐
栏目导航
热门文章
推荐文章

说点什么

分享

扫码加好友,拉您进群
各岗位、行业、专业交流群