经管之家App
让优质教育人人可得
立即打开
全部版块
我的主页
›
论坛
›
提问 悬赏 求职 新闻 读书 功能一区
›
经管百科
›
爱问频道
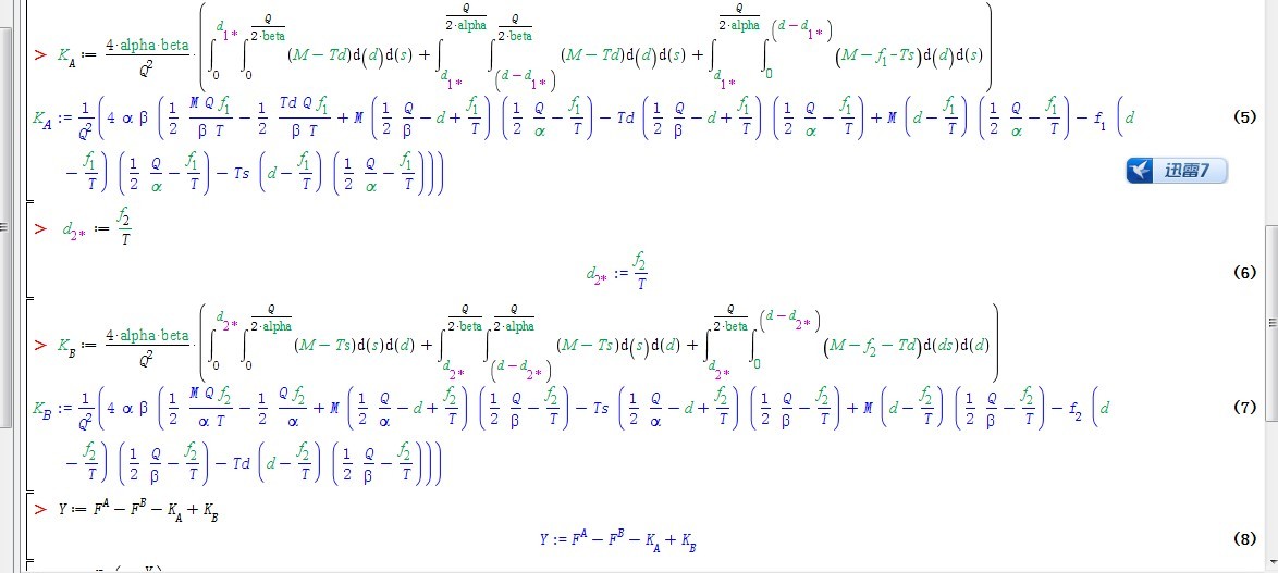
[求助]关于Maple软件应用的一个小细节问题
楼主
虚竹灵风
861
0
收藏
2013-07-25
如题。
如下图,KA和KB为什么没在Y的式子(8)中表示出来?同样的d2*却可以直接代入到KB中(7)?
扫码加我 拉你入群
请注明:姓名-公司-职位
以便审核进群资格,未注明则拒绝
相关推荐
大家有没有用过Maple这个软件啊?
求助:maple画图不够光滑的原因
Maple 教程教学资料
maple写的关于金融几个模型的程序
求MAPLE书籍【5论坛币】
Maple 15 x86 AND x64 及 各自对应的升级文件 下载
麻烦帮我打开一个maple的文件
求Maple 15 英文版
求maple 64位破解版
求助maple18多重三维图的画法
栏目导航
爱问频道
休闲灌水
金融实务版
经管文库(原现金交易版)
经管高考
经管在职研
热门文章
CDA数据分析师实战:指标体系搭建的全流程方 ...
2025年AI智能体的兴起:未来展望报告(英)
2025 中国汽车可持续发展蓝皮书
合规与体验双升级!中高端LED牙齿美白灯的增 ...
“奇瑞品质”再获权威认证
祝贺奇瑞!祝贺尹同跃!
电力设备行业报告:算力革命与能源革命共振 ...
【24重磅,顶刊方法!】2010-2024上市公司绿色 ...
【自用整理,24更新!】2009-2024上市公司华证 ...
当AI遇见ML:高校教师如何借助AI与机器学习 ...
推荐文章
12月武汉站|Deepseek辅助论文写作与数据分 ...
2026JG学术冬训营:从Stata初高到Python机器 ...
关于如何利用文献的若干建议
关于学术研究和论文发表的一些建议
关于科研中如何学习基础知识的一些建议 (一 ...
一个自编的经济学建模小案例 --写给授课本科 ...
AI智能体赋能教学改革: 全国AI教育教学应用 ...
2025中国AIoT产业全景图谱报告-406页
关于文献求助的一些建议
几种免费下载文献的方法----我的文献应助经
说点什么
分享
微信
QQ空间
QQ
微博
扫码加好友,拉您进群
各岗位、行业、专业交流群