全部版块 我的主页
论坛 数据科学与人工智能 数据分析与数据科学 SPSS论坛
1353 2
2013-09-22
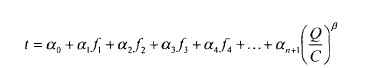
请问一下,像图中的这个公式用spss应该怎么拟合啊?
附件列表
spss回归.jpg

原图尺寸 5.1 KB

spss回归.jpg

二维码

扫码加我 拉你入群

请注明:姓名-公司-职位

以便审核进群资格,未注明则拒绝

全部回复
2014-11-28 14:03:45
你这个需要估计非线性模型,因为参数不能线性化
二维码

扫码加我 拉你入群

请注明:姓名-公司-职位

以便审核进群资格,未注明则拒绝

2016-4-25 17:41:30
选择Graph--Scatter/dot..
在新的对话框中选择simple scatter,单击define。
将两个变量分别拖到X axis和Y axis。单击OK。
图形生成了。
双击图形,出来一个新的窗体。在这个窗体的图形中,单击任意一个点,确保所有的点都被选中。
点击菜单 “Elements”,选择“Fit lines at total”,出来一个新的对话框“Properties”,并且原来的图形加入了一个线性回归直线。
在对话框“Properties”选择选项卡“Fit Line”,选中"Linear"。
单击“Apply”,单击“Close
二维码

扫码加我 拉你入群

请注明:姓名-公司-职位

以便审核进群资格,未注明则拒绝

栏目导航
热门文章
推荐文章

说点什么

分享

扫码加好友,拉您进群
各岗位、行业、专业交流群