fwbtown 发表于 2013-11-4 23:35 
我可以再问一下关于双币种欧式看涨期权的边界条件和初始条件吗?
没找到太多相关资料的
只找到一篇论文 ...
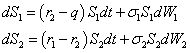
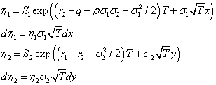
照他的初始条件V(S1,S2,T) = S2 * max(S1 - K, 0), 那结果确实和rho没有关系,因为最后的payoff是根据当时的汇率,所以是日元还是美元没区别,我看了一下最早的reiner的quanto mechanics也是这样说的,他的原话
Foreign equity call struck in foreign currency. The first case, that of a foreign equity call with striking price K also in foreign currency is particularly simple. The necessary observation is that S2 plays an almost trivial role in the payoff: whatever payment in the foreign currency results from exercise of the option is just converted at the spot exchange rate at expiration. To make use of this point, consider an option writer located in the country (日本)where S1 is traded. She is indifferent (in a frictionless market) between this call - paying off in your currency (美元)- and a standard option on S1 paying off in her own(日元). Accordingly, the present value in foreign units of the call is just given by the Black-Scholes formula. To obtain the domestic value of the option we need only invoke the law of one price, which requires that identical contracts have equivalent prices in all markets, to find (by multiplying by the spot exchange rate)